Микробиологические трансформации стероидов. Методы проведения
Другие стерины встречающиеся в природе, отличаются от холестерина или по длине боковой цепи, или по степени насыщенности.
Стерины растений (фитостерины). Очень важный класс соединений, они служат источником получения многих ценных стероидных препаратов.
Эргостерин по структуре отличается от холестерина дополнительной метильной группой в боковой цепи при С-24, а также имеет две дополнительные двойные связи: одна из них при С-7, другая в боковой цепи при 22- и 23-углеродных атомах. Эргостерин является провитамином витамина D. Строение эргостерина было установлено в 1934 г.
Он встречается у многочисленных представителей растительного мира, а также у грибов, микроорганизмов и других представителей живого мира. Особенно велико содержание эргостерина у дрожжевых микроорганизмов. Для промышленного получения эргостерина чаще всего используются пекарские дрожжи, содержание эргостерина в них колеблется в зависимости от расы, питательной среды и культивирования от 0,2 до 15% на сухую массу.
Стигмастерин С29H48О — один из наиболее распространенных фитостеринов, он содержится в большом количестве в соевом масле и сахарном тростнике. По структуре стигмастерин отличается от холестерина наличием двойной связи между 22 и 23-углеродными атомами и наличием этильной группы в положении 24:
Другим широко распространенным растительным стерином является
-ситостерин С29Н50О. По строению он сходен со стигмастерином, отличаясь от него лишь отсутствием двойной связи в боковой цепи:
Ситостерины встречаются в хлопковом и соевом маслах, в зародышах пшеницы и натуральном каучуке, в сахарном тростнике и другом растительном материале. Коммерческим источником ситостеринов чаще всего являются тростник и хлопковое масло. Ситостерины и стигмастерин — наиболее перспективные и дешевые исходные продукты для получения стероидных гормонов.
Стерины необходимы для осуществления физиологических и биохимических функций живого организма. Предполагается, что стерины требуются для образования мембранных систем, клеточных оболочек и других структурных образований клетки. Есть данные о том, что стерины являются защитным фактором против токсического действия многих природных соединений.
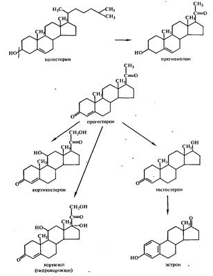
Основные пути биосинтеза стероидных гормонов из холестерина.В организме животных и человека из холестерина образуются три важные группы гормонов: прогестины, половые гормоны и гормоны коры надпочечников (кортикостероиды). Основные пути биосинтеза этих гормонов показаны на схеме:
При образовании стероидных гормонов из холестерина сначала образуется прегненолон — основной промежуточный продукт биосинтеза стероидов и кортикостероидов. Окисление 3ОН-группы прегненолона в С=0 сопровождается перемещением двойной связи; продуктом этой кетостероидизомеразной реакции является прогестерон — гормон плаценты и желтого тела.
Прегненолон является также предшественником мужских половых гормонов (тестостерона) и женских половых гормонов (эстрогенов — эстрона, эстрадиола). В коре надпочечников прогестерон превращается в кортикостерон и кортизол (гидрокортизон): секреция кортизола достигает у взрослого человека 15—30 мг в день. Эти вещества были первоначально выделены из коры надпочечников в кристаллическом виде.
Кортизол (гидрокортизон) и его синтетические аналоги такие, как преднизолон или дексаметазон, принадлежит к числу современных средств экстренной терапии, благодаря их уникальному противовоспалительному, десенсибилизирующему и противошоковому действию. По своему химическому строению они могут быть разделены на 11-дезоксистероиды, 11-гидроксистероиды, 11,17-дигидрокснстероиды (к последним относятся кортизон и гидрокортизон):
2.2 Основные микробиологические превращения стероидов
Промышленный синтез названных выше ценных лекарственных препаратов стал возможен только с развитием методов микробиологической химии и, в частности, метода микробиологической трансформации. В качестве сырья для получения указанных лекарственных средств используется диосгенин (из растения диоскореи), стигмастерин из соевых бобов, в последние годы интенсивно изучается
-ситостерин как потенциально дешевый и доступный источник. В таблице приведены некоторые трансформации стероидов, имеющие промышленное значение.
Таблица
Микробиологические трансформации стероидов, имеющие промышленное применение
| Реакция | Субстрат | Продукт | Микроорганизм трансформатор |
| 11 | Прогестерон | 11 | Rhizupus nigricans |
| 11 | Вещество S Рейхштейна (4-прегнен-17 | Гидрокортизон | Carvularia lunata |
| 16 | 9 | 9 | Streptomyces roscochrcmogenus |
| 1,2-Дегидрирование | Гидрокортизон | Преднизолон | Arthrobacter simplex |
| Расщепление боковой цепи |
| Андростадиендион и (или) андростендион | Mycobacterium spp. |
