Структура и свойства мембранных липидов
ние цепей по меньшей мере до 50 А2 в расчете на молекулу диациль-ного фосфолипида, а в водных дисперсиях эффективная площадь, приходящаяся на молекулу фосфолипида, составляет обычно 60 — 70 А2. Следовательно, в жидкокристаллической фазе углеводородные цепи не наклонены к плоскости бислоя, поскольку в этих условиях.полярные головки липидных молекул достаточно удалены друг от друга, и чтобы заполнить пространство между соседними головками и перекинуть между ними мостики, требуются вода и другие полярные молекулы. Судя по данным 2Н-ЯМР, толщина углеводородной области дипальмитоилфосфатидилхолинового бислоя в жидкокристаллическом состоянии составляет 35, а не 45 А, как следовало ожидать, если бы цепи находились в полностью-/я/*7«с-конфиругации и были ориентированы вдоль нормали к би-слою. Толщина бислоя уменьшается за счет наличия к цепях гош-конформеров, приводящих к разупорядоченности цепей, причем сами цепи в целом растянуты и расположены перпендикулярно поверхности бислоя, а не скручены в спираль. На рис. 2.12 приведена линейная зависимость толщины жидкокристаллического бислоя в диацилфосфатидилхолиновых везикулах от длины ацильных цепей, построенная по данным рассеяния рентгеновских лучей.
МЕТОДЫ ИССЛЕДОВАНИЯ ГИДРОФОБНОЙ ОБЛАСТИ БИСЛОЯ
Для получения детальной картины строения внутренней области бислоя особенно полезными оказались два метода: Н-ЯМР и ИК-и КР-спектроскопия. Применение *Н- 13С-ЯМР для исследования мембран и водно-липидных систем затруднено, поскольку для получения пригодных для исследования малых везикул или мембранных фрагментов необходима предварительная фрагментация мембранного препарата с помощью ультразвука. Впрочем, если вращать образец под магическим углом, то необходимость в такой обработке отпадает, и это открывает новые возможности для более широкого применения последних методологических достижений ЯМР при изучении модельных и биологических мембран.
Применение методов 2Н-ЯМР и колебательной спектроскопии не сопровождается возмущениями бислоя, поскольку в этих методах не используются зонды, которые могли бы исказить структуру окружающих их липидов. Ниже приведены краткое описание этих методов и сводка результатов, полученных при изучении конфигурации ацильных цепей.
Спектроскопия комбинационного рассеяния
Лазерная спектроскопия комбинационного рассеяния оказалась весьма полезной для изучения физического состояния модельных и биологических мембран. Этот метод основан на измерении разности энергии падающего света и света, рассеянного за счет колебательных движений. Тип колебаний и их интенсивность очень сильно зависят от физического состояния липидов, поэтому спектры фосфолипидов в фазе геля и жидкокристаллическом состоянии существенно различаются. Особенно полезны для регистрации этих различий валентные колебания связи С—С. Например, появление гош-конформеров при плавлении углеводородных цепей приводит к увеличению интенсивности полосы при 1080 см-1. Этот метод показывает, что некоторая доля гош-конформеров сохраняется и в состоянии геля до тех пор, пока температура не снизится до очень низких значений, около - 200° С. Заметим, что колебания часто охватывают всю молекулу, так что количественная интерпретация спектров с точки зрения анализа влияния отдельных коиформаций является непростой задачей.
Обычно образцы представляют собой суспензию липидов в концентрации около 1 мг/мл. Мембраны, содержащие хромофоры или флуоресцирующие примеси, непригодны для изучения. Фоновая флуоресценция делает невозможным измерение относительно слабых сигналов комбинационного рассеяния, а поглощение хромофорами лазерного излучения приводит к нагреванию
Инфракрасная спектроскопия
Этот метод также основан на регистрации колебательных спектров молекул, но до недавнего времени его применение для изучения биологических объектов было ограниченным из-за невозможности работы с водными суспензиями. После разработки современных ИК-спектрометров с фурье-преобразованием многие из этих проблем были решены. В настоящее время опубликовано немало работ по изучению липидных дисперсий и биологических мембран методом фурье-ИК-спектроскопии. Преимущества этого метода перед спектроскопией КР состоят в его значительно более высокой чувствительности, а также в том, что флуоресцирующие примеси или хромофоры не мешают измерениям. Как и в случае спектроскопии КР, фурье-ИК-спектры чувствительны к изменениям полиморф-ио-фазового состояния липидов. Поэтому фурье-ИК-спектроскопия использовалась для изучения предпереходов в фосфатидилхолино-вых бислоях, главного фазового перехода гель—жидкий кристалл, а также перехода яичного фосфатидилэтаноламина из ламеллярной фазы в гексагональную Нц-фазу.
Изменение коиформации липидных цепей сопровождается частотным сдвигом полос поглощения групп СНг, причем эти изменения коррелируют с изменением доли гош-коиформеров в цепях. Например, в присутствии холестерола число гош-коиформеров в ди-пальмитоилфосфатидилхолине при температурах выше температуры главного фазового перехода снижается, что согласуется с изменениями упорядоченности бислоя, измеренной методом 2Н-ЯМР. Встраивание в бислой интегрального мембранного белка оказывает совершенно иной эффект: число гош-кон-формеров в жидкокристаллической фазе практически не изменяется, но увеличивается их содержание в фазе геля, поскольку белки мешают ацильным цепям упаковываться в полностью-транс-конфигура-ции.
Более детальную картину строения гидрофобной области липидного бислоя удалось получить с помощью метода 2Н-ЯМР. Атомы водорода в определенных местах липидной молекулы можно избирательно заменить дейтерием. Это сравнительно мяг-
кий способ зондирования мембран, и считается, что он, как правило, не вносит возмущений в их структуру. Спектры некоторых дейтерированных димиристоилфосфатидилхолинов представлены на рис. Расстояние между двумя пиками Avq, называемое квадрупольным расщеплением, зависит от усредненной по времени ориентации вектора С—D-связи по отношению к нормали к бислою. Усредненную по времени ориентацию можно выразить через параметр упорядоченности следующим образом:
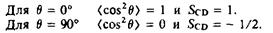
где <cos20) отражает усреднение ориентации по времени, a Scd является параметром упорядоченности связи. Необходимо подчеркнуть, что результат измерения является величиной, усредненной по всем молекулам.
При хаотичной ориентации. Этот параметр описывает усредненную ориентацию данного сегмента ацильной цепи:
мол = _ 2Scd-
Параметр упорядоченности, получаемый с помощью метода 2Н-ЯМР, отражает усредненную ориентацию и мало что говорит о динамике системы и о характере движений.
Особое значение имеет тот факт, что локальное магнитное поле, в котором находится конкретный атом дейтерия, зависит от ориентации С—D-связи по отношению к внешнему магнитному полю. Колебательные и вращательные движения молекулы, которые влияют на ориентацию С—D-связи в бислое в целом, происходят с достаточно большой скоростью, так что любой атом дейтерия воспринимает единое усредненное магнитное окружение. Это окружение зависит от соседних атомов, а также от ограничений движения по типу и амплитуде. В этом отношении метод 2Н-ЯМР отличается от КР- и ИК-спектроскопии, поскольку переходы транс-и гош- совершаются с гораздо меньшей частотой, чем разность частот колебательных полос, отвечающих этим формам. Поэтому ИК- и КР-спектры дают картину, которую можно назвать моментальной фотографией вклада транс- и гош-ротамеров в спектральные параметры. Для измерения параметров упорядоченности применяют и другие методы, в частности спектроскопию ЭПР и флуоресенцентную спектроскопию.
