Физиологически активные липиды и их роль в питании человека
Введение
Липидами (от греч. lipos — эфир) называют сложную смесь эфироподобных органических соединений с близкими физико-химическими свойствами, которая содержится в клетках растений, животных и микроорганизмах. Липиды широко распространены в природе и вместе с белками и углеводами составляют основную массу органических веществ всех живых организмов, являясь обязательным компонентом каждой клетки. Они широко используются при получении многих продуктов питания, являются важными компонентами пищевого сырья, полупродуктов и готовых пищевых продуктов, во многом определяя их пищевую и биологическую полноценность и вкусовые качества.
Липиды не растворимы в воде (гидрофобны), хорошо растворимы в органических растворителях (бензине, диэтиловом эфире, хлороформе и др.).
В растениях липиды накапливаются, главным образом, в семенах и плодах. Ниже приведено содержание липидов (%) в разных культурах:
Подсолнечник (семянка) 30—58
Хлопчатник (семена) . 20—29
Соя (семена) 15—25
Лен (семена) 30—48
Арахис (ядро) 50—61
Маслины (мякоть) .28—50
Конопля (семена) 32—38
Тунг (ядро плода) 48—66
Рапс (семена) .45—48
Подсолнечник (семянка) 30—58
Хлопчатник (семена) . 20—29
Соя (семена) 15—25
Лен (семена) 30—48
Арахис (ядро) 50—61
Маслины (мякоть) 28—50
Конопля (семена) . 32—38
Тунг (ядро плода) .48—66
Рапс (семена) .45—48
У животных и рыб липиды концентрируются в подкожных, мозговой и нервной тканях и тканях, окружающих важные органы (сердце, почки). Содержание липидов в тушке рыб (осетров) может достигать 20 – 25%, сельди – 10%, у туш наземных животных оно сильно колеблется: 33% (свинина), 9,8% (говядина), 3,0% (поросята). В молоке оленя – 17 – 18%, козы – 5,0%, коровы – 3,5 – 4,0% липидов. Содержание липидов в отдельных видах микроорганизмов может достигать 60%. Содержание липидов в растениях зависит от сорта, места и условий их произрастания; у животных — от вида, состава корма, условий содержания и т.д.[1]
1. Классификация липидов
1.1 Классификация липидов по строению и способности к гидролизу
По строению и способности к гидролизу липиды разделяют:
- омыляемые;
- неомыляемые
Омыляемые липиды при гидролизе образуют несколько структурных компонентов, а при взаимодействии с щелочами – соли жирных кислот.
По физиологическому значению липиды делят:
- запасные (резервные);
- структурные
Резервные липиды депонируются в больших количествах и при необходимости расходуются для энергетических нужд организма. К резервным липидам относят триглицериды. Структурные липиды (в первую очередь, фосфолипиды) образуют сложные комплексы с белками (липопротеиды), углеводами, из которых построены мембраны клеток и клеточных структур, и участвуют в разнообразных сложных процессах, протекающих в клетках. По массе они составляют значительно меньшую группу липидов (в масличных семенах 3—5%).
Липиды делят на две основные группы:
- простые (нейтральные);
- сложные
К простым нейтральным липидам (не содержащим атомов азота, фосфора, серы) относят производные высших жирных кислот и спиртов: глицеролипиды, воски, эфиры холестерина, гликолипиды и другие соединения.
Молекулы сложных липидов содержат в своем составе не только остатки высокомолекулярных карбоновых кислот, но и фосфорную и серную кислоты. К сложным липидам относят: фосфолипиды (глицерофосфолипиды, сфингофосфолипиды), стероиды (холестерол, эргостерол, ланостерол, стигмастерол, экдистероиды) и др.[3]
1.2 Простые липиды
1.2.1 Ацилглицерины
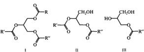
Наиболее важная и распространенная группа простых нейтральных липидов — ацилглицерины. Ацилглицерины (или глицериды) — это сложные эфиры глицерина и высших карбоновых кислот (табл. 1). Они составляют основную массу липидов (иногда до 95%) и, по существу, именно их называют жирами или маслами. В состав жиров входят, главным образом, триацилглицерины (I), а также диацилглицерины (II) и моноацилглицерины (III) (рис.1).
Рисунок 1 – триацилглицерины (I), диацилглицерины (II) и моноацилглицерины (III); R, R', R'' – углеводородные радикалы.
Таблица 1 – Основные карбоновые кислоты, входящие в состав природных масел и жиров
|
Кислота |
Формула |
Число атомов С |
|
Насыщенные кислоты | ||
|
Лауриновая |
СН3-(СН2)10-СООН |
12 |
|
Миристи новая |
СН3-(СН2)12-СООН |
14 |
|
Пальмитиновая |
СН3-(СН2)14 - СООН |
16 |
|
Стеариновая |
СН3-(СН2)16-СООН |
18 |
|
Арахиновая |
СН3-(СН2)18-СООН |
20 |
|
Ненасыщенные кислоты | ||
|
Олеиновая |
СН3- -(СН2)7-СН=СН-(СН2)7-СООН |
18 |
|
Эруковая |
СН3- -(СН2)-СН=СН-(СН2)11-СООН |
22 |
|
Линолевая |
СН3- (СН2)4-СН=СН-СН2-СН=СН-(СН2)7-СООН |
18 |
|
Линоленовая |
СН3- -(СН2-СН=СН)3-(СН2)7-СООН |
18 |
|
Арахидоновая |
СН-(СН2)3-(СН2-СН=СН)4-(СН2)3-СООН |
20 |
|
Оксикислоты | ||
|
Рициноленовая |
СН3- -(СН2)5-СНОН-СН2-СН=СН-(СН2)7-СООН |
18 |
Триацилглицерины (ТАГ), молекулы, которых содержат одинаковые остатки жирных кислот, называются простыми, в противном случае — смешанными. Природные жиры и масла содержат, главным образом, смешанные триацилглицерины. Чистые ацилглицерины — бесцветные вещества без вкуса и запаха. Окраска, запах, и вкус природных жиров определяются наличием в них специфических примесей, характерных для каждого вида жира. Температуры плавления и застывания ацилглицеринов не совпадают, что обусловлено наличием нескольких кристаллических модификаций. По современным представлениям, молекулы триацилглицеринов в кристаллах в зависимости от ориентации кислотных групп могут иметь форму вилки 1, кресла 2, стержня 3 (рис. 2).
