Физиологически активные липиды и их роль в питании человека
Более 50 лет назад была доказана необходимость присутствия ряда этих структурных компонентов липидов для нормального функционирования и развития человеческого организма. Они участвуют в построении клеточных мембран, в синтезе простагландинов (сложные органические соединения), участвуют в регулировании обмена веществ в клетках, кровяного давления, агрегации тромбоцитов, способствуют выведению из организма избыточного количества холестерина, предупреждая и ослабляя атеросклероз, повышают эластичность стенок кровеносных сосудов. Но эти функции выполняют только цис-изомеры ненасыщенных кислот. При отсутствии «эссенциальных» кислот прекращается рост организма и возникают тяжелые заболевания. Биологическая активность указанных кислот неодинакова. Наибольшей активностью обладает арахидоновая кислота, высокой — линолевая, активность линоленовой кислоты значительно (в 8-10 раз) ниже линолевой.
В последнее время особое внимание привлекают ненасыщенные жирные кислоты семейства омега-3, присутствующие в липидах рыб.
Среди продуктов питания наиболее богаты полиненасыщенными кислотами растительные масла (табл.3), особенно кукурузное, подсолнечное, соевое. Содержание в них линолевой кислоты достигает 50—60%, значительно меньше ее в маргарине — до 20%, крайне мало в животных жирах (в говяжьем жире — 0,6%). Арахидоновая кислота в продуктах питания содержится в незначительном количестве, а в растительных маслах ее практически нет. В наибольшем количестве арахидоновая кислота содержится в яйцах — 0,5, субпродуктах 0,2—0,3, мозгах — 0,5%.
В настоящее время считают, что суточная потребность в линолевой кислоте должна составлять 6 – 10 г, минимальная — 2 – 6 г, а ее суммарное содержание в жирах пищевого рациона — не менее 4% от общей калорийности. Следовательно, состав жирных кислот липидов в пищевых продуктах, предназначенных для питания молодого, здорового организма, должен быть сбалансированным: 10 – 20% — полиненасыщенных, 50 – 60% — мононенасыщенных и 30% насыщенных, часть из которых должна быть со средней длиной цепи. Это обеспечивается при использовании в рационе 1/3 растительных и 2/3 животных жиров. Для людей пожилого возраста и больных сердечно-сосудистыми заболеваниями содержание линолевой кислоты должно составлять около 40%, соотношение полиненасыщенных и насыщенных кислот — приближаться к 2 : 1, соотношение линолевой и линоленовой кислот —10 : 1 (Институт питания РАМН)
Таблица 3 – Содержание жирных кислот (в %) и характеристики масел и жиров
|
Жиры и масла |
Содержание и состав жирных кислот | ||
|
насыщенных |
ненасыщенных |
основных | |
|
Масла | |||
|
Соевое |
14 – 20 |
75 – 86 |
С218 46 – 65 |
|
Хлопковое |
22 – 30 |
75 – 76 |
С218 45 – 56 |
|
Подсолнечное |
10 – 12 |
до 90 |
С218 46 – 70 |
|
Рапсовое |
2 – 6 |
94 – 98 |
С118 6 – 44 Эруковая 1 – 52 |
|
Оливковое |
9 – 18 |
82 – 91 |
С118 70 – 82 |
|
Кокосовое |
До 90 |
10 |
С012 44 – 52 С014 13 – 18 |
|
Пальмовое |
44 – 57 |
43 – 56 |
С016 39 – 47 С218 45 – 50 |
|
Пальмоядровое |
79 – 83 |
17 – 21 |
С016 10 – 19 |
|
Масло какао |
58 – 60 |
40 – 42 |
С118 23 – 25 С016 31 – 34 |
|
Льняное |
6 – 9 |
91 – 94 |
С318 41 – 60 |
|
Животные жиры | |||
|
Говяжий |
45 – 60 |
43 – 52 |
С118 24 – 29 43 – 44 |
|
Бараний |
52 – 62 |
38—48 |
С018 25 – 31 С118 36 – 42 |
|
Свиной |
33 – 49 |
48—64 |
С118 25 – 32 34 – 44 |
|
Китовый |
10 – 22 |
48—90 |
— |
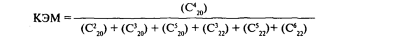
Способность жирных кислот, входящих в состав липидов, наиболее полно обеспечивать синтез структурных компонентов клеточных мембран характеризуют с помощью специального коэффициента (Институт питания РАМН), отражающего соотношение количества арахидоновой кислоты, которая является главным представителем полиненасыщенных жирных кислот в мембранных липидах, к сумме всех других полиненасыщенных жирных кислот с 20 и 22 атомами углерода. Этот коэффициент получил название коэффициента эффективности метаболизации эссенциальных жирных кислот (КЭМ):
По современным представлениям наиболее целесообразно использовать в каждый отдельный прием пищи жиры, имеющие сбалансированный состав, а не потреблять жировые продукты различного состава в течение суток.
Важной в питании группой липидов являются фосфолипиды, участвующие в построении клеточных мембран и транспорте жира в организме, они способствуют лучшему усвоению жиров и препятствуют ожирению печени. Общая потребность человека в фосфолипидах до 5—10 г в сутки.
Отдельно хочется остановиться на физиологической роли холестерина. Как известно, при повышении его уровня в крови опасность возникновения и развития атеросклероза возрастает; 80% холестерина содержится в яйцах (0,57%), сливочном масле (0,2-0,3%), субпродуктах (0,2-0,3%).
Суточное его потребление с пищей не должно превышать 0,5 г. Растительные жиры — единственный источник витамина Е и β-каротина, животные жиры — витаминов А и D.[1]
Заключение
Выполняя столь значимые функции в организме человека, жиры являются важной составляющей пищевого рациона. Для поддержания оптимального здоровья необходимо придерживаться общих правил рационального питания и потребления жиров, в частности. Средняя физиологическая потребность в жирах для здорового человека составляет около 30 % общей калорийности пищи, третью часть потребляемых жиров должны составлять растительные масла. В некоторых специальных диетах долю растительных жиров увеличивают до 50 % и более. Жиры улучшают вкус пищи и вызывают чувство сытости. В процессе обмена веществ они могут образовываться из углеводов и белков, но в полной мере ими не заменяются. Пищевая ценность жиров определяется их жирнокислотным составом, наличием незаменимых факторов питания, степенью усвояемости и удобоваримости. Биологическая активность пищевых жиров определяется содержанием в них незаменимых полиненасыщенных жирных кислот. Поскольку основным источником ПНЖК являются растительные масла, то они и обладают наибольшей биологической активностью. Высока и усвояемость растительных масел.[6]
