Банковское дело и кредитованиеРефераты >> Банковское дело >> Банковское дело и кредитование
Путем этих операций банки могут сосредоточить на своих счетах значительные средства и получают их в бесплатное пользование. Вместе с тем, они довольно прибыльны, т.к. за инкассо взимается определенная плата.
Они выгодны и для клиента, поскольку банки благодаря тесным взаимоотношениям между собой могут исполнять поручения клиента быстрее и дешевле, клиент так же освобождается от необходимости следить за сроками предъявления векселей к платежу, что требовало затрат значительно больших, чем комиссионные банка.
Банки могут по поручению клиента производить платежи по векселям в установленный срок. Эту операцию называют домициляцией, она противоположна инкассированию .
Домицилируя вексель, банк не несет никакой ответственности, т.к. клиент вносит сумму платежа заранее. В противном случае банк отказывает в платеже, и вексель протестуется обычным порядком против векселедателя.
Анализ доходности финансовых векселей. Вексель может быть выпущен как с дисконтом, так и с выплатой фиксированного процента к номиналу в момент погашения (процентный вексель). С точки зрения количественного анализа в первом случае вексель представляет собой дисконтную бумагу, доход по которой представляет разницу между ценой покупки и номиналом. Поэтому доходность такого векселя определяется аналогично доходности любого обязательства, реализуемого с дисконтом и погашаемого по номиналу:
![]() |
Р – цена покупки;
N – номинал;
К – курсовая стоимость;
В – используемая временная база;
Как правило, в операциях с векселями используются обыкновенные проценты (360/365).
Абсолютный дисконт по дисконтному векселю S равен:
S=FV-PV=N-P=100-K. (2)
Если вексель продается (покупается) до срока погашения, доход будет поделен между продавцом и покупателем с учетом величины рыночной ставки процента и числа дней, оставшихся до погашения:
![]() |
t - число дней от момента сделки до срока погашения;
Соответственно, доход продавца будет равен:
Sпрод = S - Sпок , (4)
Если вексель размещается по номиналу, его доход определяется объявленной процентной ставкой r. В этом случае вексель представляет собой ценную бумагу с выплатой фиксированного дохода в момент погашения.
![]() |
где r - ставка по векселю;
N - номинал;
t - срок погашения в днях;
B - временная база;
Соответственно, годовая доходность погашения Y, исчисленная по простым процентам, будет равна:
![]() |
Из (5) и (6) следует, что если обязательства размещено по номиналу и держится до срока погашения его доходность будет равна указанной в контракте ставки процента (т.е. Y=r).
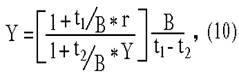
Если вексель продается (покупается) между датами выпуска и погашения, абсолютная величина дохода S будет распределена между продавцом и покупателем в соответствии с рыночной ставкой (нормой доходности покупателя) Y на данный момент времени и пропорционально сроку
![]() |
где t2 - число дней от момента покупки до погашения векселя.
Соответственно, продавец получит величину:
Sпрод = S – Sпок (8)
Соотношение (7) и (8) отражают ситуацию равновесия на рынке (т.е. "справедливое" распределение доходов в соответствии с рыночной ставкой Y и пропорционально сроку хранения бумаги каждой из сторон). Любое отклонение в ту или иную сторону повлечет за собой перераспределение дохода в пользу одного из участников сделки.
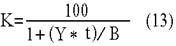
Предельная величина рыночной ставки Y, при которой продавец бумаги
получит доход, должна удовлетворять неравенству:
![]() |
Y - рыночная ставка;
t1 - число дней до погашения в момент покупки;
t2 - число дней до погашения в момент перепродажи;
![]() |
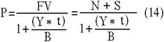
Оценка стоимости финансовых векселей.
Процесс оценки стоимости векселя, выпущенного с дисконтом, заключается в определении современной величины элементарного потока платежей по формуле простых процентов исходя из требуемой нормы доходности Y.
Поскольку номинал дисконтного векселя принимается за 100%, его курсовая стоимость равна:
![]() |
где – t число дней до погашения.
При Y=r рыночная стоимость обязательства на момент выпуска будет равна номиналу (т.е. Р=N). Соответственно, при Y>r будет Р<N и вексель размещается с дисконтом, а в случае Y<r с премией (т.е. Р>N).








