Банковское дело и кредитованиеРефераты >> Банковское дело >> Банковское дело и кредитование
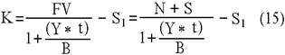
Таким образом, рыночная стоимость векселя с учетом накопленного дохода, определяемая из (14), может отклоняться от номинала. Однако в биржевой практике принято котировать в процентах к номиналу, т.е. за 100 единиц на дату сделки. При этом ставка дохода по обязательствам r показывается отдельно.
![]() |
где t - число дней до погашения;
S1 – абсолютная величина дохода, накопленная к дате совершения сделки.
где t1 - число дней от момента выпуска до даты сделки.
Таким образом, полная рыночная стоимость векселя Р может быть так же определена как:
P = K + S1
Анализ учета векселей.
При учете вексель выполняет две функции: коммерческого кредита и средства платежа.
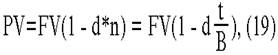
Абсолютная величина дисконта определяется как разность между номиналом векселя и его современной стоимостью на момент проведения
операции. При этом дисконтирование осуществляется по учетной ставке d, устанавливаемой банком:
![]() |
где t - число дней до погашения;
d - учетная ставка банка;
P - сумма, уплаченная владельцу при учете векселя;
N - номинал;
![]() |
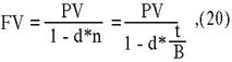
Суть данного метода заключается в том, что проценты начисляются на сумму, подлежащую уплате в конце срока операции. При этом применяется учетная ставка d.
При дисконтировании по учетной ставке чаще всего используют временную базу 360/360 или 360/365(366). Используемую при этом норму приведения называют антисипативной ставкой процентов[1].
Учетная ставка d иногда применяется и для наращивания по простым процентам. Необходимость в таком наращивании возникает при определении будущей суммы контракта, например, общей суммы векселя. Формула определения будущей величины в этом случае имеет вид:
![]() |
Простой вексель на сумму 100 000 с оплатой через 90 дней учитывается в банке за 60 дней до погашения. Учетная ставка банка 15 %. Определить величину дисконта в пользу банка и сумму, полученную владельцем векселя.
Disc = (100000 * 60 * 0.15) / 360 = 2500;
Соответственно, владелец векселя получит величину PV:
PV=100000 – 2500 = 97500;
Предположим, что в рассматриваемом примере владелец векселя решил учесть вексель немедленно после получения, тогда:
Disc = (100000 * 90 * 0.15) / 360 = 3750;
PV = 100000 – 3750 = 96250;
Как следует из полученного результата, при неизменном значении ставки d чем раньше производится учет векселя, тем больше будет величина дисконта в пользу банка и тем меньшую сумму получит владелец. Изменим условия примера 1 следующим образом.
На какую сумму должен быть выплачен вексель, чтобы поставщик, проведя операцию учета, получил стоимость товаров в полном объеме, если банковская учетная ставка равна 15 %?
Нетрудно заметить, что здесь мы имеем дело с обратной задачей –
наращиваем по учетной ставке d. При этом будущая величина FV (номинал
![]() |
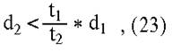
Учтенный (купленный) банком вексель в свою очередь может быть
переучтен (продан)в другом банке. Доходность купли-продажи
![]() |
![]() |
где t1 - число дней до погашения в момент покупки ;
t2 – число дней до погашения в момент перепродажи;
P1 – цена покупки;
P2 – цена перепродажи;
d1 – учетная ставка при покупке;
d2 – учетная ставка при продаже.
Как следует из приведенных соотношений, для продавца операция
![]() |
В некоторых случаях товарные векселя могут выпускаться в виде ценной бумаги с фиксированным доходом, выплачиваемым по ставке r в срок
погашения. Современная стоимость такого векселя при учете будет равна:
![]() |
где r – ставка по векселю;
t – срок векселя;
t1 – число дней до погашения;
d – учетная ставка банка. Глава 2.
Функционирование вексельного рынка в России.
Постановлением Президиума Верховного Совета РСФСР, предусматривалось, что векселя будут использоваться при поставках продукции или оказании услуг в кредит, т.е. введены коммерческие или товарные векселя.
Из этого логичным образом вытекало, хотя об этом и не было сказано прямо, что промышленным предприятиям запрещается эмиссия векселей в целях привлечения денежных средств.
Однако вскоре появились финансовые векселя банков. Затем финансовые фирмы стали активно привлекать средства вкладчиков, и часть из них для придания этой операции большего веса оформляли свою задолженность также векселями. Прибегают к выпуску векселей и муниципальные власти для финансирования дефицита бюджета или привлечения средств под свои программы. Таким образом, можно констатировать, что при отсутствии четкой регламентации использования векселей и фактическом отсутствии госрегулирования их обращения, вексель стал применяться в качестве заменителей других фондовых инструментов (облигаций, сертификатов).









