Методы оценки капиталаРефераты >> Банковское дело >> Методы оценки капитала
Восстановительная стоимость (ВС) определяется суммой затрат на приобретение аналогичных активов в текущий момент или закупку продукции, произведенной с использованием конкретного вида оборудования. В этом случае фиксируются только затраты, но не учитывается полезность объекта и возможные к получению доходы.
Необходимо отметить, что учетные методы оценки активов предприятия оторваны от результатов работы предприятия и могут применяться лишь для определения себестоимости и текущей стоимости активов.
Метод оценки по ликвидационной стоимости использует данные о текущей стоимости активов, определяя остаток капитала предприятия после реализации активов и полного расчета по долгам. При этом ликвидационная стоимость отличается от скорректированной балансовой стоимости на величину затрат по ликвидации. Ликвидационная оценка служит для определения минимальной стоимости предприятия в случае ликвидации.
Опираясь на оценку текущей стоимости активов, метод стоимости замещения определяет объем средств, необходимых для получения данного положения бизнеса. При этом должен учитываться физический, функциональный и экономический износ.
ЧСЗА = Ца- Иэ- Иф,
где
ЧСЗА - чистая стоимость замещения активов;
Ца - цена аналогичных активов на рынке;
Иэ - износ функциональный;
Иф - износ физический.
Данный метод дает возможность оценить и величину нематериальных активов, учитывать организационные и управленческие расходы, но не отражает способности активов приносить доход.
Для определения возможностей активов приносить доход используются финансовые методы оценки, применяемые в планировании деятельности предприятия, принятии управленческих решений, а также для оценки будущей стоимости капитала и доходности инвестиций.
При проведении оценки инвестиционных проектов за основу принимаются критерии временной стоимости денег и цены капитала. При этом ценой капитала считается стоимость денежного (финансового) капитала на финансовых рынках, а за цену капитала конкретного предприятия принимаются годовые расходы по обслуживанию привлеченных ресурсов. Таким образом, абсолютный показатель стоимости капитала конкретного предприятия не учитывается. В основе инвестирования капитала лежит сопоставление объема инвестиций и потока будущих денежных поступлений, то есть возмещение стоимости вложенного капитала и возможность получения доходов от данного вложения. При этом временная стоимость денег изменяется в связи со следующими причинами:
· обесценением денег с течением времени;
· отвлечением временно свободных денежных средств предприятия. [6, 96]
Доходные или финансовые подходы опираются на методы оценки бизнеса и представляют собой: дисконтирование денежных потоков; капитализацию доходов; использование равного по эффективности аналога.
Метод периода окупаемости базируетсяна прогнозе чистого денежного потока. Причем период окупаемости для предприятия и акционеров различен, т.к. денежный поток для акционера - это дивиденды, а для предприятия - выручка от реализации продукции.
Метод капитализации доходов оценивает только будущие доходы, а не стоимость активов, и доход определяется с применением расчетов: средней арифметической, средневзвешенной или тренда.
=
;
Для расчета интереса собственника, как правило, используется принцип капитализации дивидендов.
Метод дисконтирования денежных потоков опирается на оценку будущих чистых доходов. Основными этапами дисконтирования являются:
· прогноз будущих денежных потоков;
· определение дисконтирующей ставки;
· дисконтирование будущих денежных потоков;
· определение суммы дисконтированных денежных потоков и чистой текущей стоимости.
При этом чистый денежный поток рассчитывается как сумма прибыли, амортизации, неденежных поступлений и непроизводственных доходов за вычетом налогов, авансирования основного и оборотного капитала и внереализационных расходов. Необходимо отметить, что ставка дисконта должна рассчитываться отдельно для собственного и привлеченного капитала. Наиболее часто метод дисконтирования денежных потоков применяется при оценке и обосновании инвестиций. Для этого определяется дисконтированная стоимость чистых будущих денежных поступлений - по активам и стоимость чистых будущих денежных отчислений - по обязательствам.
Методы оценки, опирающиеся на чистую дисконтированную стоимость, также учитывают поступление прибыли во времени и ее объемы.
Чистый дисконтированный доход (Net Present Value - NPV). Этот метод некоторые специалисты нередко называют методом чистого приведенного эффекта; чистой текущей стоимости; чистой дисконтированной стоимости; чистой приведенной стоимости. В западной финансовой литературе иногда вместо термина “дисконтирование” используется термин “актуализация” [7. 178]. Суть этого метода можно выразить с помощью следующей формулы:
,
где tr - продолжительность расчетного периода;
te - период начала эксплуатации объекта;
Zi - капитальные затраты;
Di - доходы от эксплуатации объекта;
Е - норма прибыли;
i - шаг расчетного периода.
Метод чистого приведенного эффекта основывается на подходе к повышению стоимости(ценности) предприятия.
При этом производится сравнение объема инвестиций с объемом дисконтированных чистых денежных поступлений за период инвестирования. Коэффициент дисконтирования устанавливается исходя из ежегодного процента возврата на инвестируемый капитал.
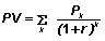
Дисконтные доходы (Prezent Value) определяются по формуле:
.
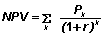
Чистый приведенный эффект (Net Prezent Value) можно рассчитать следующим образом:
- IC,
где P1, P2, Pk - размер годовых доходов;
n - количество лет инвестиции;
r - коэфф. дисконта.
Сущность этого метода заключается в сопоставлении, приведении стоимости будущих поступлений от инвестированных средств к текущей их стоимости. Данный показатель имеет более высокую точность определения эффекта и нацелен на увеличение капитала предприятия, рост благосостояния акционеров.
Метод расчета внутренней нормы доходности - определяет ставку дисконта, при которой чистая текущая стоимость активов приравнивается к нулю. Внутренняя норма доходности (Internal Rate of Return - IRR) имеет и иные названия в специальной литературе, например: внутренняя норма прибыли; внутренняя норма рентабельности; проверочный дисконт; доходность дисконтированных денежных поступлений; внутренний коэффициент рентабельности; внутренняя норма окупаемости инвестиций; внутренняя ставка отдачи.
