Модель универсального банкаРефераты >> Банковское дело >> Модель универсального банка
Согласно нескольким исследованиям цены на жилье в центральном Лондоне снизились примерно на 0.3% в июле и на 0.5% в августе 2010 года. Данная коррекция объясняется не только традиционным затишьем активности в летние месяцы, но и увеличением числа предложений - от 7 до 10% по сравнению с предыдущими месяцами. Напомню, что именно превышение спроса над предложением стало решающим фактором, вызвавшим столь неожиданный рост цен в центре Лондона в 2009 и начале 2010 года.
Нынешняя осень и зима будут непростым временем для Великобритании и нового коалиционного правительства - грядущие увольнения среди государственных служащих, бюджетные сокращения, увеличение НДС с 17.5% до 20%, а также возвращающаяся осторожность банков при выдаче ипотечных кредитов обязательно повлияют и на рынок британской недвижимости.
Однако все эти внутренние негативные экономические новости, а также продолжающиеся падение фунта стерлинга по отношению к другим основным валютам являются хорошей новостью для международных инвесторов, в том числе и из России. Лондон для них становится более доступным, а выбор объектов более богатым.
Ипотечное кредитование в Италии.
Размер ипотеки в Италии.
Минимальный размер кредита в Италии составляет €150,000. Размер ипотеки для клиентов из России и стран СНГ ограничен лишь тем, что его сумма не может превышать 60% от оценочной стоимости недвижимости (которая может оказаться ниже рыночной).
Условия.
От 5 до 30 лет, возрастной максимум 75 лет.
Расходы.
Сборы итальянских банков варьируются, но, как правило, составляют 1-1,5% от суммы ипотечного кредита. Расходы, связанные с оценкой недвижимости составят около 200 – 450 Евро.
Требования к заемщику.
Необходимо иметь в виду, что банки смотрят на платежеспособность заемщика, и способность в долгосрочной перспективе погашать ипотечный кредит. Обязательным условием для банков Италии является соотношение ежемесячных доходов заемщика к обязательствам не более 35%. Подразумевая, что платежи по потребительским кредитам, ипотеке в России, а также платежам по кредиту в Италии не должны превышать 35% от ежемесячных доходов заемщика, или совокупных семейных доходов.
Итальянские банки требуют подтверждение дохода. Это могут быть справки о заработной плате, накопления, доходы от инвестиционной деятельности или доходы от аренды. Необходимо подтвердить личные данные, банковские счета и существующие платежи по кредитам.
В случае если заемщик является руководителем компании, индивидуальным предпринимателем или собственником бизнеса, требуется аудированная отчетность компании, или юридическое удостоверение предоставляемых в банк сведений. Правовые вопросы итальянского имущественного права и законодательства Италии
Важным аспектом получения ипотечного кредита является наличие итальянского налогового номера Codice Fiscale, подать заявление на получение Codice Fiscale можно в посольстве Италии в Москве, или во время своего визита в Италию, в этом поможет агентство недвижимости, курирующее сделку.
Необходимым условием для рассмотрения досье на получение ипотечного кредита в Италии является подписание предварительного договора купли-продажи, таким образом получить одобрение на ипотечный кредит можно только при наличии выбранного объекта недвижимости. Однако рекомендуется начать процедуру подготовки кредитного досье и передачу его на рассмотрение в банк, еще до подписания документов, регламентирующих намерения покупки. Таким образом, к моменту выбора объекта кредитования кредитное досье заемщика будет уже одобрено, а процесс одобрения и оценки объекта недвижимости существенно сократится.
Ипотечное кредитование в Испании.
Задержки, связанные с рассмотрением заявок на ипотечный кредит являются одним из самых больших ограничений при кредитовании в Испании, срок рассмотрения заявки на кредит в испанском банке может достигать 1 – 1,5 месяцев. Однако кредит, размером до 60% от оценочной стоимости недвижимости, на текущий момент получить вполне возможно, а подобная задержка в рассмотрении досье возникает обычно только в случаях больших сумм возможного кредита, что не всегда является проблемой для заемщиков в Испании.
Минимальная фиксированная ставка кредита в 4,15% сроком на 12 лет сейчас доступна в части регионов Испании. Маржа испанских банков осталась на прежнем уровне и не изменяется уже в течение прошедших 3-5 месяцев. На текущий момент привлекательными выглядят кредиты с плавающей процентной ставкой, в случае возможного досрочного их погашения, в других случаях ипотечный кредит с фиксированной процентной ставкой выглядит наиболее предпочтительным, неся меньший риск по изменению процентных ставок в среднесрочной перспективе.
3. Задача
Заемщик получил в коммерческом банке ипотечный кредит в сумме 852 тыс. руб. сроком на 10 лет на строительство жилья. Годовая процентная ставка по кредиту фиксирована на весь срок и составляет 13 %. Погашение кредита производится один раз в год. Досрочное погашение не допускается. Рассчитать график погашения ипотечного кредита при условии, что выдан:
- аннуитетнй ипотечный кредит;
- пружинный ипотечный кредит.
Решение:
Расчет графика погашения ипотечного кредита должен быть произведен и показан по каждому году в разбивке на составляющие. Результаты расчетов должны быть преобразованы в следующие таблицы и графики.
1) Аннуитетный ипотечный кредит.
Аннуитетный кредит амортизируется периодическими равновеликими платежами, состоящими из двух частей. Одна часть является платежом в счет погашения основной суммы долга, а вторая часть является процентным платежом на невыплаченный остаток кредита.
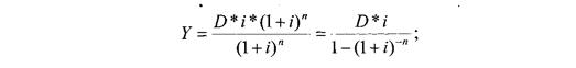
Y = R+I - const,
где Y - общий платеж в периоде;
R - платеж по погашению основного долга;
I - процентный платеж в периоде.
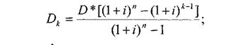
Величина процентного платежа для к-го расчетного периода (IК), который рассчитывается по формуле:
IK = Dk. i,
где i - ставка процента по ипотечному кредиту, %;
Dk - остаток ипотечного кредита в к -том периоде.
Величина общего платежа, направляемого на погашение ипотечного кредита, вычисляется по формуле:
где n - общее число платежей по погашению кредита (количество периодов);
D - сумма ипотечного кредита;
i - ставка процента по кредиту, %.
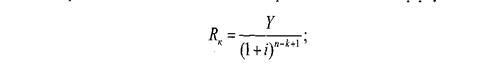
Размер платежа основного долга в k-том периоде вычисляется по формуле:
где к - номер периода, причем к=1,,n.
Остаток невыплаченного долга k-том периоде (Dk) вычисляется по формуле:
Таблица 1
Расчет графика погашения аннуитетного ипотечного кредита, тыс. руб.
|
Года |
Остаток основного долга |
Процентный платеж за год |
Платеж по погашению основного долга |
Общий платеж за год |
|
1 |
852,0 |
110,8 |
32,5 |
143,2 |
|
2 |
819,5 |
106,5 |
36,7 |
143,2 |
|
3 |
782,8 |
101,8 |
41,5 |
143,2 |
|
4 |
741,4 |
96,4 |
46,8 |
143,2 |
|
5 |
694,5 |
90,3 |
52,9 |
143,2 |
|
6 |
641,6 |
83,4 |
59,8 |
143,2 |
|
7 |
581,8 |
75,6 |
67,6 |
143,2 |
|
8 |
514,2 |
66,8 |
76,4 |
143,2 |
|
9 |
437,8 |
56,9 |
86,3 |
143,2 |
|
10 |
351,5 |
45,7 |
97,5 |
143,2 |
|
Всего |
0,0 |
834,2 |
598,0 |
1 432,3 |
