Комплексные задачи по физикеРефераты >> Педагогика >> Комплексные задачи по физике
Задание 2 :тела на поверхности Земли испытывают силу тяготения, направленную в центр Земли, и центробежную силу из-за вращения Земли, направленную перпендикулярно оси вращения Земли. Вывести формулу угла между радиусом Земли и отвесом /грузиком на нитке /, в зависимости от широты места этого отвеса.
Задание 3 : тела на сплюснутой поверхности Земли находятся в таком же устойчивом положении равновесия, как шарик в тарелке из задания 1. Пользуясь этой аналогией, определите, по какой траектории будет катиться шарик на идеально гладкой поверхности Земли, если толчком придать шарику сорость v? Рассмотрите движение шарика относительно земного и солнечного наблюдателей.
ГЕОМЕТРИЧЕСКАЯ И ВОЛНОВАЯ ОПТИКА
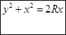
Задание 1 : отражатели карманных фонариков, автомобильных фар, прожекторов, «тарелки» спутникового телевидения и связи имеют форму параболоида. Расчитайте, по правилам геометрической оптики, в каком месте параболоида должен находиться источник излучения, чтобы лучи из этого параболоида выходили параллельно оптической оси. Разумеется, при обратном ходе параллельные лучи должны сходиться в одну точку, называемую фокусом параболоида. Расчёт на рисунке приведён. Только его нужно обосновать словами и проверить правильность выводов.
Задание 2 : доказать, что все точки плоской волны, после отражения её от параболоида, приходят в фокус одновременно.Если это так, то тогда сферические волны излучателя, отражаясь от параболоида, должны преображаться в плоские волны.
![]() |
Задание 3 : На нижнем рисунке показан ход лучей от параболического отражателя к уголковому и обратно. Придумайте применение такого явления. Можно ли использовать уголковый отражатель для передачи информации на большое расстояние? Причём этот отражатель не имеет даже излучателя. Придумайте механический способ формирования информационных сигналов
Задание 4 : . Как должен выглядеть уголковый отражатель в объёмном представлении?
ИССЛЕДОВАНИЕ КОЛЕБАТЕЛЬНОГО ДВИЖЕНИЯ.
Задание : на левом рисунке графикам физических величин / F, a, E, v, t / соответствуют, расположенные справа от них, формулы. Все формулы выводятся теоретическим путём.
Постарайтесь обосновать справедливость всех формул, обведённых рамками.
Вам в помощь в правой и нижней частях листа приведены рисунки.
-A m A Виды упругой деформации : растяжение, сжатие, сдвиг, кручение.
x
напряжение
упругости
относительное
удлиннение
Многие металлы, резина обладают, в ограниченых пределах, пропорциональной упругостью, то есть F = kx. Благодаря этому свойству, металлические струны, пластины могут совершать гармонические свободные колебания. Таким образом можно получать музыкальные звуки. Постоянный период колебаний пружины используется в часовых механизмах. Постоянный коэффициент упругости пружины удобен для цели
взвешивания.
v v
F
vmax
Ep = STP x
X
МОЛЕКУЛЯРНО – КИНЕТИЧЕСКАЯ ТЕОРИЯ ГАЗА.
/ давление газа в ограниченном объёме,
cкорости молекул,скорость звука /
Задание : объясните словесно один из трёх способов вывода фориулы давления газа для двух степенй свободы / пункт 2./.
1. ДЛЯ ОДНОЙ СТЕПЕНИ СВОБОДЫ
2. ДЛЯ ДВУХ СТЕПЕНЕЙ СВОБОДЫ.
3. ДЛЯ ТРЁХ СТЕПЕНЕЙ СВОБОДЫ.
4. СКОРОСТЬ ПЕРЕДАЧИ ВОЗМУЩЕНИЯ.
ПУТЕШЕСТВИЕ МЕЖДУ ПОЛЮСАМИ ЗЕМЛИ.
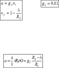
Задание : если прокопать колодец сквозь Землю от полюса до полюса, создать в нём вакуум, то можно путешествовать от полюса к полюсу без затрат энергии на перемещения. Докажите это утверждение и опишите изменения ускорения, перегрузки, скорости в процессе такого путешествия. Сколько времени будет продолжаться оно?


Задание : доказать, что два шара однородной плотности притягиваются друг к другу как две матариальные точки, расположенные в центрах этих шаров. Говорят, что Ньютону удалось это доказать. Закон гравитации для материальных точек : FT= G m1m2 / R2.
![]()
Y
![]() |
![]()
![]()
a X
m
b
Y
![]() | |||
![]() | |||
2R x
![]() | |||





