Комплексные задачи по физикеРефераты >> Педагогика >> Комплексные задачи по физике
![]()
Y
![]() |
m X
L
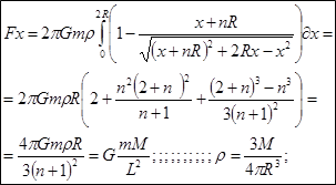
КОНСТРУИРОВАНИЕ ИНТЕГРАЛОВ.
Задание : из каких геометрических соображений сконструированы интегралы для вычисления длины окружности, площадей круга и шара, объёма шара?
ПРОЕКТИВНЫЕ ПОСТРОЕНИЯ И ПРЕОБРАЗОВАНИЯ
Задание : длину дуги большого круга /ортодромии/ можно выразить через сферические координаты её крайних точек. Повернём шар вокруг горизонтальной оси так, чтобы нижняя точка вертикальной проекции хорды ортодромии оказалась в центре круга. Докажите, что длина ортодромии S = R3*arccos (sin φ1*sinφ2+cosφ1*cosφ2*cos(γ2-γ1)).
j
Z
Z1
L Y1
a
Y
Dl
другой способ:
L2 = DX2 +DY2 +DZ2

