Линия Формализация и моделирование учебного курса ИнформатикаРефераты >> Педагогика >> Линия Формализация и моделирование учебного курса Информатика
Таблица 1.
| С1 | С2 | СЗ | С4 | С5 | |
|
С1 | 1 | 0 | 0 | 1 | 0 |
|
С2 | 0 | 1 | 0 | 1 | 0 |
|
СЗ | 0 | 0 | 1 | 1 | 0 |
|
С4 | 1 | 1 | 1 | 1 | 1 |
|
С5 | 0 | 0 | 0 | 1 | 1 |
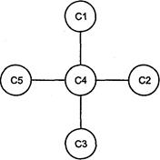
Из таблицы 1 ученики должны определить, какой из пяти серверов является узловым?
Решение. Поскольку по данному определению узловым называется тот сервер, с которым непосредственно связаны все другие серверы, то в матрице нужно искать строку, состоящую только из единиц. Это строка — С 4. Значит сервер С4 является узловым.
Второе задание, связанное с этой же таблицей, может быть следующим: нарисовать схему этой компьютерной сети, изобразив серверы кружками, а связи между ними линиями.
Элементы системного анализа в курсе информатики
Изучаемые вопросы:
Ø • Понятие системы.
Ø • В чем суть системного подхода.
Ø • Структура системы; использование графов для отображения структуры.
Ø • Развитие системного мышления учащихся.
Второй, дополнительный уровень изучения темы моделирования в базовом курсе связан с обсуждением таких понятий, как: система, структура, граф, деревья, сети. Необходимо отметить, что эти понятия постепенно начинают проникать в перечень обязательных для изучения в рамках базового курса. Перечисленные понятия относятся к области, которая в науке называется системологией (теорией систем). Знания элементов системологии придают целостность и понятийную полноту содержательной линии «Формализация и моделирование».
Понятие «система» часто употребляется как в научных дисциплинах, так и в повседневной жизни. Примеров тому достаточно много: Солнечная система, периодическая система химических элементов, системы растений и животных, система образования, система транспорта, файловая система, операционная система и многое другое. Во многих случаях понятие системы считается интуитивно ясным. Однако для информатики оно является одним из фундаментальных и требует разъяснения.
Под системой понимается любой объект, состоящий из множества взаимосвязанных частей, и существующий как единое целое.
В информатике понятие «система» употребляется достаточно часто. Совокупность взаимосвязанных данных, предназначенных для обработки на компьютере — система данных. Совокупность взаимосвязанных программ определенного назначения — программные системы (ОС, системы программирования, пакеты прикладных программ и др.). Информационные системы — одно из важнейших приложений компьютерных технологий.
Основным методическим принципом информационного моделирования является системный подход, согласно которому всякий объект моделирования рассматривается как система. Из всего множества элементов, свойств и связей выделяются лишь те, которые являются существенными для целей моделирования. В этом и заключается сущность системного анализа. Задача системного анализа, который проводит исследователь — упорядочить свои представления об изучаемом объекте, для того чтобы в дальнейшем отразить их в информационной модели.
Сама информационная модель представляет собой также некоторую систему параметров и отношений между ними. Эти параметры и отношения могут быть представлены в разной форме: графической, математической, табличной и др. Таким образом, просматривается следующий порядок этапов перехода от реального объекта к информационной модели:
|
Реальный объект | è |
Системный анализ | è |
Система данных, существенных для моделирования | è |
Информационная модель |
Важной характеристикой всякой системы является ее структура. Структура — это определенный порядок объединения элементов, составляющих систему. Другой вариант определения, встречающийся в литературе: структура — это множество связей между элементами системы. Наиболее удобным и наглядным способом представления структуры систем являются графы. Описываются основные правила представления графов, вводятся понятия вершина, дуга, ребро, ориентированный граф, дерево, сеть. Обычно у учащихся не вызывает проблем понимание схем, представленных в форме графа: граф родственных связей, граф системы связанных между собой населенных пунктов и др.
Важной разновидностью графов являются деревья. Дерево — это графическое представление иерархической структуры системы. Обычно это системы, между элементами которых установлены отношения подчиненности или вхождения друг в друга: системы власти, административные системы, системы классификации в природе и др. Ученики знакомы с понятием «дерево» применительно к системе файлов на дисках компьютера. Многим из них известен смысл понятия «родословное дерево».
