Вексельное обращениеРефераты >> Деньги и кредит >> Вексельное обращение
где t –число дней до погашения;
Р – цена покупки;
N – номинал;
К – курсовая стоимость;
В – используемая временная база;
Как правило, в операциях с векселями используются обыкновенные проценты (360/360).
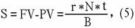
Абсолютный дисконт по дисконтному векселю S равен:
S=FV-PV=N-P=100-K. (2)
рыночной ставки процента и числа дней, оставшихся до погашения:
где Y - рыночная ставка (норма доходности покупателя);
t - число дней от момента сделки до срока погашения;
Соответственно, доход продавца будет равен:
Sпрод = S - Sпок , (4)
Если вексель размещается по номиналу, его доход определяется объявленной процентной ставкой r. В этом случае вексель представляет собой ценную бумагу с выплатой фиксированного дохода в момент погашения
С учетом введенного выше обозначения r абсолютный размер дохода по векселю может быть определен, как:
где r - ставка по векселю;
N - номинал;
t - срок погашения в днях;
B - временная база;
простым процентам, будет равна:
Из (5) и (6) следует, что если обязательства размещено по номиналу и держится до срока погашения его доходность будет равна указанной в контракте ставки процента (т.е. Y=r).
![]() |
где t2 - число дней от момента покупки до погашения векселя.
Соответственно, продавец получит величину:
Sпрод = S – Sпок (8)
Соотношение (7) и (8) отражают ситуацию равновесия на рынке (т.е. "справедливое" распределение доходов в соответствии с рыночной ставкой Y и пропорционально сроку хранения бумаги каждой из сторон). Любое отклонение в ту или иную сторону повлечет за собой перераспределение дохода в пользу одного из участников сделки.
где r - ставка по векселю;
Y - рыночная ставка;
t1 - число дней до погашения в момент покупки;
t2 - число дней до погашения в момент перепродажи;
![]() |
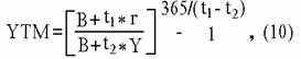
При этом доходность операции будет равна:
![]() |
где YTM - эффективная доходность
2.3.2. Оценка стоимости финансовых векселей.
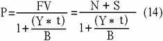
Процесс оценки стоимости векселя, выпущенного с дисконтом, заключается в определении современной величины элементарного потока платежей по формуле простых процентов исходя из требуемой нормы доходности Y.
(цены) подобного обязательства будет иметь вид:
![]() |
где – t число дней до погашения.
При Y=r рыночная стоимость обязательства на момент выпуска будет равна номиналу (т.е. Р=N). Соответственно, при Y>r будет Р<N и вексель размещается с дисконтом, а в случае Y<r с премией (т.е. Р>N).
Таким образом, рыночная стоимость векселя с учетом накопленного дохода, определяемая из (14), может отклоняться от номинала. Однако в биржевой практике принято котировать в процентах к номиналу, т.е. за 100 единиц на дату сделки. При этом ставка дохода по обязательствам r показывается отдельно.
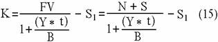
![]() |
где t - число дней до погашения;
S1 – абсолютная величина дохода, накопленная к дате совершения сделки.
где t1 - число дней от момента выпуска до даты сделки.
Таким образом, полная рыночная стоимость векселя Р может быть так же определена как:
P = K + S1
2.3.3. Анализ учета векселей.
При учете вексель выполняет две функции: коммерческого кредита и средства платежа.





