Книжное дело на рубеже тысячелетийРефераты >> Литература >> Книжное дело на рубеже тысячелетий
Второй веской причиной сокращения биржевой активности явился разразившийся кризис взаимных неплатежей между предприятиями (производителями и потребителями), и все это усугубилось развалом банковской системы между странами СНГ. Переводить деньги в страны "ближнего зарубежья" сегодня рискнет не каждый, а в биржевой торговле и подавно.
Принятие закона "О биржевой деятельности и товарных биржах" явилось третьим и весьма существенным аргументом сокращения финансовых поступлений в биржевые структуры:
Был положен конец "торговле воздухом", т.е. спекулятивной продаже брокерских мест
В 1992 году на биржах получила широкое распространение деятельность так называемых "черных брокеров", когда покупатель и продавец, встретившись на бирже, заключали соглашения в обход ее и не платили биржевого сбора. Явление это приобрело такой размах, что руководство бирж было вынуждено отказаться от процентных выплат после заключения официального договора. Большинство бирж назначает фиксированную ежемесячную сумму отчислений бирже, независимо от количества заключенных сделок. Биржа "Российская бумага" пошла по другому пути. Сегодня все брокерские конторы (50 брокерских контор на бирже работают постоянно) вместо оплаты стоимости брокерского места обязаны стать полными членами биржи (с правом торговли во всех филиалах). Для этого брокерской конторе необходимо приобрести 5 акций биржи по 50 тыс. руб. за каждую на сумму 250 тыс. руб. Если брокерская контора намерена торговать в одном из филиалов биржи, то ей необходимо приобрести 2 акции на сумму 100 тыс. руб. В этом случае брокер становится неполным членом биржи. Но существует на "Российской бумаге" и категория так называемых постоянных посетителей с правом ведения торговых операций (сроком на два года). Эта услуга стоит также 100 тыс. руб.
В целом же состояние биржевой торговли в России сейчас можно оценить как нестабильное, а наступивший 1993 год
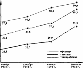
Динамика цен из бумагу (в тыс. руб.)
будет, скорее всего, годом выживания бирж.
Приводим список лучших товарных бирж России за 1992 год, составленный газетой "Коммерсантъ".
1. Российская товарно-сырьевая биржа
2. Московская товарная биржа
3. Московская торговая палата
4. Межреспубликанская универсальная товарная биржа
5. Товарно-фондовая биржа "Санкт-Петербург"
6. Свердловская товарная биржа
7. Пермская товарная биржа
2. Продажа бумаги и книг на биржах
Довольно неожиданно для многих в торговле бумагой на второе место вслед за "Российской бумагой" вышла Московская торговая палата (МТП). Раньше она называлась Международная универсальная биржа вторичных ресурсов. За первую неделю января объем предложений бумаги на МТП составил 186,8 млн. руб. (На "Российской бумаге" - 382,4 млн руб., а на Рослес-бирже предложение бумаги составило всего 96,4 млн. руб.) Если раньше "Российская бумага" была недосягаемым лидером как по объемам предложения бумаги, так и по структуре этого предложения, то сегодня заметна довольно мощная конкуренция со стороны МТП, по крайней мере в объемах предложения. Хотя ситуацию в Московской торговой палате нельзя считать безоблачной, а репутацию ее безупречной. Дело в том, что на этой бирже выявлены нарушения закона "О товарных биржах и биржевой торговле". Ведется проверка деятельности МТП.
С 1 января 1993 года введены ставки экспортных пошлин при вывозе товара с территории Российской Федерации. Теперь товаропроизводители бумаги и картона или бизнесмены, купившие их в биржевых структурах, при реализации будут вынуждены платить экспортный тариф. За бумагу и картон, а также изделия из бумаги — 15% от таможенной стоимости товара, а при товарообменных (бартерных) сделках — 22,5%. За 1азетную бумагу независимо от ее стоимости надо будет заплатить за каждую тонну 80 ЭКЮ пошлины. Каждая тонна бартерных поставок газетной бумаги будет облагаться пошлиной в 120 ЭКЮ. Продажа за рубеж книг и другой печатной продукции более вьп одна. Экспортные пошлины здесь значительно ниже и составляют 10% от таможенной стоимости груза. При бартерных поставках - 15%.
Биржевые торговцы бумагой, очевидно, понимают, что необходимо стремиться не -юлько продава1ь крупные партии цел-люлозно-бумажной продукции, но и дробить их для реализации мелким оптом. Сегодня открывается много контор, фирм, нуждающихся в небольших партиях самой разнообразной бумаги Некоторые типографии хотели бы покупать регулярно бумагу, но не в тех количествах, какими оперируют брокеры на биржах. Сейчас для покупки мелких партий бумаги приходится обращаться к посредникам, т.к. биржевикам невыгодно заниматься мелкооптовой торговлей.
В этих условиях биржевые структуры вынуждены создавать торговые дома, в которых осуществляется деление крупных партий бумажной продукции. Санкт-Петербургский филиал биржи "Российская бумага" в ноябре 1992 года открыл первый торговый дом для мелкооптовой торговли бумагой. Теперь биржевикам приходится заниматься в общем-то несвойственной им деятельностью, арендовать склады, иметь дело с реальным товаром, оказывать покупателям складские и транспортные услуги.
Очевидно, "портфель заказов" на бумажную продукцию торговый дом будет формировать на бирже, там же покупать крупные партии бумаги, а затем дробить товар на более мелкие партии. При такой работе бумага из торгового дома будет несколько дороже, чем на бирже, здесь неизбежна "накрутка", но, безусловно, эта форма реализации бумажной продукции будет выгодна покупателям, т.к. ликвидируется цепь дополнитель-
ных посредников, манипулирующих крупными партиями бумаги.
Деятельность биржи "Российская бумага" по реализации книжной продукции значительно изменилась за последние полгода. Эта трансформация была вызвана многими причинами, главной из которых является то, что продажа книг определенными партиями по фиксированным дням торгов не имела успеха. Книжная секция биржи начала искать новые методы работы. В первую очередь видоизменяется деятельность брокерских контор. Им приходится работать более гибко и энергично. Сегодня их клиентами становятся, как правило, издательства и книготорговые структуры с периферии, которые из-за узости своего рынка не могут полностью реализовать свои тиражи либо закупать нужные им издания. Биржа стремится помочь таким клиентам и принимает предварительные заказы на покупку или реализацию печатных изданий и перепоручает эти заказы брокерским конторам. Дальнейшая судьба заказа целиком зависит от
деловых качеств брокера, его мобильности и компетентности. Можно привести такой пример, когда мало кому известная брокерская контора "Гермес" из Ростова-на-Дону превратилась в мощное смешанное товарищество под тем же названием, контролирующее значительную долю книжного рынка на юге России. Активно работают с книгой на "Российской бумаге" брокерские конторы "Ладъ" и "Альфа", которые осуществляют контейнерную доставку печатной продукции в масштабах России.
