Качество рабочей силыРефераты >> Статистика >> Качество рабочей силы
Остаточная вариация (RSS)

Общая вариация (TSS)

Объясняемая вариация (ESS)

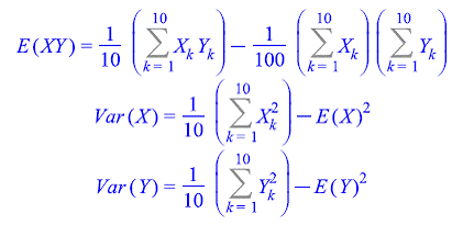
Правило сложения дисперсий выполняется. Подсчитаем оценку дисперсии ошибки, т.е. ![]()

![]()
Среднее X
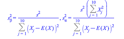
Найдем оценки дисперсий коэффициентов регрессии
по формулам
Получим
Эластичность. Подсчитаем функцию эластичности по формуле
В нашем случае
или
Значение эластичности в средней точке
показывает, что при изменении X на 1% Y меняется на 0,19 процентов.
Изучение качества регрессии
Доверительные интервалы для оцененных параметров
уровень доверия
Количество степеней свободы 8. Критическое значение статистики Стьюдента ![]()
Доверительный интервал для beta
равен
Не можем на данном уровне значимости принять гипотезу beta=0 т.к. не попадает в доверительный интервал. Доверительный интервал для alpha
равен
Мы не можем на данном уровне значимости принять гипотезу alpha=0 т.к. не попадает в доверительный интервал.
Критерий Фишера значимости всей регрессии
Коэффициент корреляции
где
показывает, что связь сильна. Коэффициент детерминации ![]()
![]()
показывает, что регрессия объясняет 88,02 процентов вариации признака. Убедимся в значимости модели с помощью статистики Фишера 
которая больше критического значения
![]()
![]()
Следовательно, регрессия значима
Проверим значимость коэффициента корреляции

![]()
поэтому выборочный коэффициент корреляции значимо отличается от нуля.
Средняя ошибка аппроксимации
Колеблемость признака
Колеблемость - это отклонения уровней динамического ряда от тренда, т.е. остатки регрессии. Найдем остатки регрессии (т.е. очищаем признак от тренда)
![]()
![]()
![]()
![]()
![]()
![]()
![]()
Нарисуем график остатков
Среднее линейное отклонение уровней ряда от тренда описывается показателем
т.е. среднее абсолютное отклонение от тренда равно
Амплитуда колебаний есть разность максимального и минимального отклонения и показывает максимальный разброс отклонений.
![]()
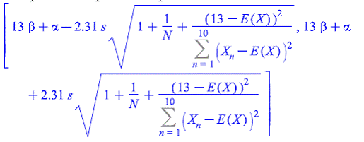
Прогноз на 2008/2009 года
Точечный прогноз для ![]()
Интервальный прогноз с вероятностью 95%
