Анализ работы многопроцессорных систем и обоснованность их применения в АСУРефераты >> Радиоэлектроника >> Анализ работы многопроцессорных систем и обоснованность их применения в АСУ
Каждый последовательный канал является двунапрвленным. Пересылки производятся в виде последовательностей байтов. Обмен производится в асинхронном режиме.
Система прерываний в традиционном смысле этого понятия отсутствует, но имеют место аналогичные средства, реализованные в виде двух уровней приоритета, присваиваемых процессам, ожидающим приема по последовательным каналам. Для упрощения обнаружения и анализа отказов к выходному контакту сигнала ошибки подключается схема установок флага ошибки. Информация о состоянии системы может быть сохранена для последующего анализа путем соединения контакта сигнала анализа (входного) с контактом сигнала ошибки (выходного).
Достигаемая производительность.
Достигаемая производительность в многопроцессорных системах равна:
,
где К – коэффициент эффективности;
n – число процессоров;
р1 – производительность одного процессора.
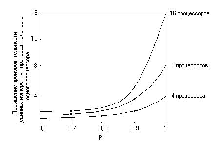
Так как коэффициент эффективности постоянная величина, то производительность системы можно увеличить за счет увеличения производительности каждого процессора или увеличения числа процессоров. Повышение того или другого возможно до определенных границ, так как после них производительность многопроцессорных систем возрастает незначительно или уменьшается.
Коэффициент эффективности зависит от параметров системы и его увеличение есть одна из главных задач. Он равняется:
где T – время решения некоторой усредненной задачи на одном процессоре;
T/n – время решения этой задачи на условном процессоре с производительностью в n раз большей или чистое время решения задачи на n процессорах;
T(n) – затраты времени на взаимодействие n параллельно работающих процессоров.
Коэффициент эффективности всегда меньше единицы. Его можно увеличить за счет уменьшения затрат времени на взаимодействие n параллельно работающих процессоров. Система будет самой эффективной, если t(n)→0.
![]() |
![]() |
Обоснованность применения многопроцессорных
систем в АСУ.
В настоящее время управление различными техническими, организационными и социальными системами осуществляется с использованием компьютеров, без которых невозможно быстро обрабатывать большое количество информации и решать сложные задачи.
Система управления, в которой все операции выполняются без участия человека, называются автоматической. Информация в автоматических системах обрабатывается с помощью микропроцессоров, размещенных в блоках управления, или центральной ЭВМ. Если активная и решающая роль в процессе управления принадлежит людям, то такие системы называются не автоматическими, а автоматизированными.
Организованное, организационно-техническое управление и управление в социальной сфере осуществляются автоматизированными системами управления (АСУ).
АСУ – система, в которой управленческая информация обрабатывается с помощью компьютера, а утверждение управленческих решений производится людьми.
Задачи АСУ являются важными в плане обеспечения эффективного принятия решения и поэтому занимают особое место среди основных применений микроЭВМ. Комплексный характер АСУ обусловливает необходимость использования различных типов АРМ (специализированные конфигурации ПЭВМ) на различных рабочих участках, объектах, в соответствии с их функциональным назначением.
Целью функционирования любой АСУ является повышение полноты, оперативности, точности и достоверности информации, используемых в задачах управления объектом. Каждую АСУ нужно рассматривать прежде всего как сложную систему, с одной стороны, состоящую из ряда подсистем, а с другой стороны, входящую в АСУ более высокого уровня. Такой системный подход обеспечивает взаимодействие как элементов АСУ, так и смежных АСУ различных уровней управления.
МикроЭВМ в настоящее время применяются на нижних уровнях автоматизации (контроль, регулирование и управление). В более сложных системах микроЭВМ – это вычислительные блоки отдельных устройств управления, терминальных станций, т.е. элементы интеллектуальной периферии, коммутационных и узлов и т.п. На базе малых ЭВМ строится средний уровень автоматизации (управление, оптимизационное управление). На верхнем уровне автоматизации (оптимизационное, ситуационное управление) основой являются мега-, мини- и многопроцессорные системы повышенной производительности. Важным компонентом систем на верхних границах эффективности каждого уровня управления являются спецпроцессоры, аппаратно реализующие определенные функции или алгоритмы обработки информации.
Приведенные данные свидетельствуют о том, что при создании комплексных систем управления необходима интеграция большого числа совместимых вычислительных систем различного класса (от микроЭВМ до мега-миниЭВМ). Невозможность использования какого-либо подкласса ЭВМ в системе управления в значительной мере снижает эффективность, не обеспечивает комплектности автоматизации управления.


