Лечение бронхиальной астмы
Таблица 9 АМБУЛАТОРНОЕ ЛЕЧЕНИЕ ПРИСТУПОВ АСТМЫ
Начальная терапия
Ингаляционные (b2-агонисты короткого действия — 2 дозы через спейсер через 20 минут в течение 1 часа или небулайзер-терапия — 1-2 мл раствора стери-неб саламола или беродуала. Повторять через каждый час в течение трех часов, затем 3-4 раза в сутки в зависимости от степени тяжести приступа и ответа на начальную терапию.
Больные, у которых имеется угроза смерти от астмы, должны связаться с врачом незамедлительно после приема начальной дозы препарата.
Ответ на начальную терапию
|
хороший |
НЕПОЛНЫЙ |
ПЛОХОЙ |
|
Симптоматика |
Выраженность |
Симптомы не |
|
улучшилась после |
симптомов |
проходят или |
|
приема р.-агонистов и |
уменьшилась, |
состояние |
|
ответ сохраняется |
но эффект |
ухудшается, |
|
в течение 4 ч; ПСВ |
от приема |
несмотря на лечение |
|
>80% от нормальных |
р^-агонистов |
р^-агонистами: |
|
или лучших значений |
сохраняется менее 3 |
ПСВ <60% от |
|
ч. ПСВ 60-80% |
нормальных или | |
|
от должных или |
лучших значений | |
|
лучших значений | ||
|
Можно продолжить |
Добавьте |
Добавьте |
|
прием р,-агонистов |
пероральные |
пероральные |
|
каждые 4-5 ч |
кортикостероиды. |
кортикостероиды. |
|
в течение 1—2 дней |
Продолжите прием |
Немедленно |
|
р,-агон истов. |
повторите прием | |
|
Повторяйте через |
р.-агонистов. | |
|
каждый час, в т.ч. |
Повторяйте через | |
|
небулайзер-терапию |
каждый час, в т.ч. | |
|
небулайзер-терапию | ||
|
Проконсультируйтесь с |
Незамедлительно |
Немедленно |
|
врачом для получения |
проконсультируй- |
обратитесь |
|
дальнейших |
тесь с врачом |
в отделение |
|
инструкций |
для получения |
неотложной терапии |
|
инструкций |
или вызовите скорую | |
|
помощь |
Примечание, данную схему необходимо использовать для составления индивидуальных планов самоведения больных БА.
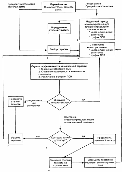
Рис.9 Блок-схема метода оптимизации антиастматической терапии.
