Учет расчетов с использованием векселейРефераты >> Бухгалтерский учет и аудит >> Учет расчетов с использованием векселей
При Y=r рыночная стоимость обязательства на момент выпуска будет равна номиналу (т.е. Р=N). Соответственно, при Y>r будет Р<N и вексель размещается с дисконтом, а в случае Y<r с премией (т.е. Р>N).
Таким образом, рыночная стоимость векселя с учетом накопленного дохода, определяемая из (14), может отклоняться от номинала. Однако в биржевой практике принято котировать в процентах к номиналу, т.е. за 100 единиц на дату сделки. При этом ставка дохода по обязательствам r показывается отдельно.
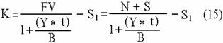
Курсовая стоимость обязательства К, проводимая в биржевых сводках, определяется как:
![]() |
где t - число дней до погашения;
S1 – абсолютная величина дохода, накопленная к дате совершения сделки.
В свою очередь величина S1 может быть найдена из следующего соотношения:
где t1 - число дней от момента выпуска до даты сделки.
Таким образом, полная рыночная стоимость векселя Р может быть так же определена как:
P = K + S1
Анализ учета векселей.
При учете вексель выполняет две функции: коммерческого кредита и средства платежа.
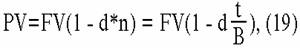
Абсолютная величина дисконта определяется как разность между номиналом векселя и его современной стоимостью на момент проведения операции. При этом дисконтирование осуществляется по учетной ставке d, устанавливаемой банком:
где t - число дней до погашения;
d - учетная ставка банка;
P - сумма, уплаченная владельцу при учете векселя;
N - номинал;
Суть данного метода заключается в том, что проценты начисляются на сумму, подлежащую уплате в конце срока операции. При этом применяется учетная ставка d.
При дисконтировании по учетной ставке чаще всего используют временную базу 360/360 или 360/365. Используемую при этом норму приведения называют антисипативной ставкой процентов[6].
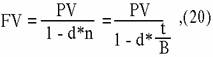
Учетная ставка d иногда применяется и для наращивания по простым процентам. Необходимость в таком наращивании возникает при определении будущей суммы контракта, например, общей суммы векселя. Формула определения будущей величины в этом случае имеет вид:[7]
![]() |
2.1 Формы векселей и платежи по ним.
Для целей бухгалтерского учёта операций с векселями можно разделить на две группы:
-покупатель БМПГЭТС от своего имени выдаёт поставщику теплоэнергии ЗАО «з-д Бежецксельмаш» вексель для оформления отсрочки платежа за теплоэнергию (см приложение №2). Этот вексель покупатель приобрел в Бежецком отделении №1558 АК СБ РФ ОАО (см. приложение №1). Такая отсрочка согласно статье 823 ГК РФ называется договором комерческого кредита. Учёт в одном случае ведётся согласно письму Министерства финансов России от 31.10.94 года. №142 (в редакции от 15.07.96 года №62);
-все остальные операции с векселями. В этих случаях учёт ведётся по правилам учёта финансовых вложений .
При вексельной оплате поступающих ресурсов или продаваемой продукции
(работ, услуг) в организации используются простые и переводные векселя.
ПРОСТОЙ ВЕКСЕЛЬ – это письменное долговое денежное обязательство одной стороны (векселедателю) по совершённым сделкам или в уплату за выполненные работы или оказанные услуги. (см. приложение №6)
ПЕРЕВОДНОЙ ВЕКСЕЛЬ - (тратта) выписывается кредитором (трассантом) и сдержит приказ дебитору (трассату) уплатить указанную в векселе сумму третьему лицу (ремитенту) или предприятию ( см. приложения №№ 3;4;5.). этот документ превращается в долговое обязательство после его акцепта трассантом. С помощью передаточной надписи (индосамента) вексель может использоваться неоднократно, выполняя функцию универсального кредитно-расчётного документа. Существенно ускоряя оборот средств учёта (дисконтирование) векселей в банках.
В этом случае векселедержатель по средством индоссамента передаёт вексель банку до наступления срока платежа и получает вексельную сумму за вычетом учётного процента в пользу банка, называемого дисконтом.
Учёт расчётов векселями у покупателей
В настоящее время учёт расчётов с использованием векселей ведётся по упрощённой схеме на тех же счетах, на которых отражаются расчёты без использования векселей. Выделение расчётов с использованием векселей осуществляется в аналитическом учёте.
Выданные векселя под приобретение товарно-материальных ценностей отражают по К60 «Расчёт с поставщиками и потребителями» (по старому и новому плану счетов). Или других подобных счетов. На этих счетах задолженность, обеспеченная векселем, числится до момента её получения. По мере погашения задолженности по векселям она списывается с Д60 с кредита счетов по учёту денежных средств (50;51;52-по старому и новому плану счетов). Векселя с просроченным сроком оплаты отражаются в аналитическом учёте отдельно.
Учёт векселей у поставщика.
Организации, получившие векселя от покупателей, учитывают полученные векселя на счёт 62 «расчёты с покупателями и заказчиками» (по старому и новому плану счетов), субсчёт 3 «Векселя полученные». Счёт 62 дебетуется на указанные в векселях суммы с кредитом счетов учёта реализации готовой продукции 46 (по новому плану счетов сч.90 «Продажи») или другого вида имущества ( сч. 47 и 48 –по новому плану счетов сч.91 «Прочие доходы и расходы»).
Оплаченные векселя отражаются по Д-ту счетов учета денежных средств и К 62.
Проценты по векселю обычно включают в его номинальную цену. Если %% по векселю оплачивают сверх номинальной суммы векселя, то величину начисленных %% отражают по К 80 «Прибыли и убытки» (по новому плану счетов сч.99 « Прибыли и убытки») и Д 62.
До наступления срока оплаты по векселю организация-векселедержатель может получить в банках ссуды под вексель.
При включении %% по векселю в его номинальную цену операция учета
(дисконта) векселей и иных долговых обязательств отражается организацией-векселедержателем по номинальной стоимости векселей по К 90


