Проведение комбинированной общей анестезии
Классическим представителем наркотических анальгетиков - опиатов - является морфин, выделенный из опийного мака еще в 1803 году. Морфин - основной алкалоид опийного мака, где его содержание колеблется от 3 до 23% (3, 4, 24, 25).
В последние годы уточнены терминологические критерии, согласно которым болеутоляющие соединения, содержащиеся в соке опийного мака принято называть опиатами, вещества другого химического строения, близкие по фармакологическим эффектам к опиатам, - опиоидами или опиатоподбными веществами (25, 26, 29).
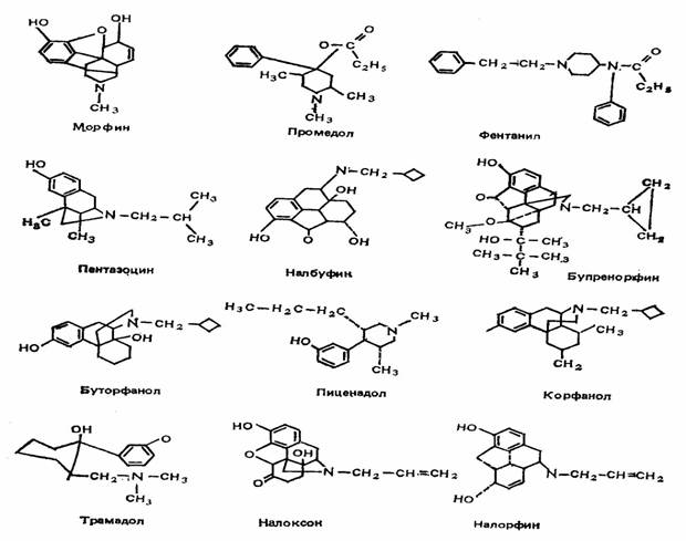
По избирательности и характеру их влияния на опиатные рецепторы наркотические анальгетики разделяются на несколько групп: морфиноподобные агонисты - морфин и его производные, промедол, фентанил и его производные, метадон, эторфин, трамадол; смешанные агонисты - антагонисты - пентазоцин, налбуфин, налорфин, корфанол; частичные (парциальные агонисты) - бупренорфин (1, 3, 29, 30, 31)
Формулы наркотических анальгетиков: (1, 3)
Нейрональные механизмы болеутоляющего действия наркотических аналгетиков и опиоидных пептидов
Современные представления о нейрофизиологии боли со всей очевидностью предопределяют, что аналгетический эффект опиатов и опиоидов представляет собой, по сути, результирующую их действия на различных уровнях центральной нервной системы (2, 4). Следует отметить, что появившиеся 6 - 8 лет назад данные о периферическом механизме их болеутоляющего действия не подтверждаются исследованиями последних лет, в которых убедительно показано, что морфин и фентанил не изменяют активность полимодальных ноцицептивных С-волокон ни при внутривенном введении, ни при аппликации на афферентные нервы (1, 32, 33, 34). В настоящее время следует считать общепризнанным, что передача ноцицептивных сигналов первично изменяется уже на уровне спинного мозга и что сегментарные механизмы действия опиатов и опиоидов играют существенную роль в реализации их болеутоляющего эффекта (34, 35, 36).
Избирательные влияния опиатов на ноцицептивные ответы соответствуют хорошо известным клиническим данным об уменьшении перцепции боли без изменения других сенсорных ощущений (34, 36, 37).
Угнетающее действие опиатов и опиоидных пептидов на нейрональную активность спинного мозга может реализоваться различными механизмами (29). Установлено, что значительное угнетение клеток V слоя под влиянием морфина происходит лишь тогда, когда он вводится в область желатинозной субстанции (1, 17, 34, 37, 38). При введении в желатинозную субстанцию- энкефалин, в отличие от морфина, угнетал ответы клеток V слоя не только на ноцицептивную, но и на неноцицептивную стимуляцию и даже уменьшал их спонтанную активность (1, 17, 36).
Болеутоляющий эффект опиатов и опиоидов при внутривенном введении может значительно варьировать, что, по-видимому, обусловлено различной ролью сегментарного компонента анальгезии у отдельных препаратов (24, 26). Так, бупренорфин, у которого при парентеральном введении анальгетическая активность в 1000 раз выше, чем у морфина, при интратекальном введении вызывает аналгезию, равную морфиновой (1, 4, 8, 38). Весьма вероятно, что болеутоляющее действие бупренорфина в большей степени по сравнению с морфином реализуется на супрасегментарном уровне, поскольку при микроинъекции в периакведуктальную область он вызывает анальгезию в 1000 раз большую, чем морфин (1, 8, 13, 36). Кроме того, значение сегментарного компонента в механизме болеутоляющего действия опиатов при субарахноидальном их введении должно оцениваться весьма осторожно, поскольку анальгезия в этих случаях возникает в результате достаточно высокой локальной концентрации опиатов и может варьировать у отдельных препаратов в зависимости от их липофильности, как было показано в отношении морфина и петидина (1, 36, 37, 39, 40, 41).
Болеутоляющее действие опиатов при системном введении обусловлено их влиянием как на сегментарном, так и супрасегментарном уровнях, причем в последнем случае изменяются влияния, регулирующие формирование восходящего ноцицептивного потока в спинном мозге (36, 39, 41, 42). О сегментарном действии системно введенных опиатов свидетельствуют данные о сохранении их анальгетического эффекта после перерезки дорсолатеральных канатиков спинного мозга или после полной спинализации. Показано, что морфин, промедол, фентанил, пентазоцин, дозозависимо и налоксонобратимо угнетали флексорный рефлекс и импульсную активность в вентролатеральных трактах спинного мозга (1, 41, 43).
Обычно аналгетический эффект опиатов и опиоидных пептидов объясняют их постсинаптическим действием (44, 45). Как показано с использованием метода внутриклеточной регистрации, опиаты и опиоиды вызывают гиперполяризацию мембраны как нейронов заднего рога спинного мозга, так и нейронов мезентериального сплетения и реснитчатого ганглия in vitro ( 1, 41, 45, 46). Кроме того, наркотические анальгетики и опиоиды налоксонобратимо устраняли деполяризацию и увеличение проводимости мембраны, вызванные глутаматом и ацетилхолином (45, 46, 47, 48). С другой стороны, уже сам факт избирательного угнетения ответов клеток заднего рога спинного мозга на ноцицептивные стимулы дает основание полагать, что оно обусловлено влиянием анальгетиков и на пресинаптическом уровне. Кроме того, известно, что опиатные рецепторы в спинном мозге локализуются не только пост - , но и пресинаптически ( 1, 48, 49, 50).
Однако данные об электрофизиологических проявлениях пресинаптического действия опиатов, лежащего в основе их болеутоляющего эффекта, довольно противоречивы, что в первую очередь определяется разнообразием представлений о пресинаптических механизмах формирования восходящего ноцицептивного потока на сегментарном уровне (50, 51, 52, 53) .
Болеутоляющее действие опиатов и опиоидных пептидов реализуется и на супрасегментарном уровне за счет нарушения проведения возбуждения по диффузной афферентной системе на уровне таких ее основных релейных звеньев, как ретикулярная формация ствола головного мозга и среднего мозга (52, 53, 54, 55).
|
ноцицеп-нисходя-структур |
Принципиальным механизмом специфического болеутоляющего действия опиатов и опиоидов следует считать угнетение нейронов, связанных с ноцицептивной афферентацией, и снижение их активации через конвергирующие на них высокопорговые ноцицептивные входы (46, 49). Так, электрофоретическое подведение морфина и метэнкефалина всегда стереоспецифически и налоксонобратимо угнетает активность нейронов голубого пятна, которое имеет большую плотность опиатных рецепторов и участвует в регуляции болевой чувствительности (1, 3, 46, 54, 55, 56, 57).
Можно считать, что в последние годы в целом сформулировано представление о болеутоляющем действии опиатов и опиоидов и достигнуто общее понимание излишней категоричности существовавших ранее контраверсий об исключительно сегментарных или супрасегментарных механизмах опиатной аналгезии (56, 57, 58, 59, 60, 61). Предложено достаточно много функциональных схем, согласно которым эта анальгезия формируется как за счет непосредственного угнетения релейных нейронов спинного мозга и особенно их активации через высокопороговые ноцицептивные входы, так и в результате усиления опиатами нисходящего торможения с различных антиноцицептивных структур центральной нервной системы (1, 55, 56, 57, 58, 59)
