Курс лекций по Коммерческой логистике
В настоящее время в России происходят разгосударствление и приватизация транспортного и складского хозяйства. Интенсивно формируется рынок транспортных и транспортно-экспедиционных услуг. Так, по данным Министерства транспорта РФ, на территории России услуги автомобильного транспорта клиентам предлагает свыше 366 тыс. автохозяйств, речного транспорта - 4,8 тыс. перевозчиков, морского транспорта - свыше 1,1 тыс. судовладельцев, воздушного транспорта - свыше 200 перевозчиков с различными видами собственности. Если проанализировать ситуацию по видам транспорта, как по грузообороту, так и по объему перевозок, то наблюдается тенденция к снижению по всем видам транспорта.
Можно сделать три вывод: во-первых, не работает промышленность, во-вторых, идет перераспределение перевозок и, в-третьих, отсутствуют приписки на перевозимую продукцию.
К этому следует добавить, что парк транспортных средств находится в неудовлетворительном состоянии. Технические характеристики эксплуатируемых транспортных средств и систем значительно отстают от современного мирового уровня и, в первую очередь, по экономичности, безопасности, техническому состоянию и другим показателям. Степень износа транспортных средств в целом по транспортному комплексу составляет свыше 50%, а по воздушным судам - 70%. Спад производства, рост цен, инфляция и снижение платежеспособности клиентуры способствует снижению инвестиций в развитие транспорта. Поэтому резко уменьшены запуски и обновление транспортных средств.
Каждый из перечисленных выше видов транспорта имеет свою материально-техническую базу, документацию и технико-эксплуатационные показатели работы. Детально все эти элементы изучают специалисты транспорта, а работники логистики должны иметь представление о тех элементах, которые встречаются им в практической деятельности при решении логистических задач.
Железнодорожный транспорт. Вагонный парк состоит из пассажирских и грузовых вагонов. Грузовые вагоны подразделяются на универсальные (крытые, полувагоны, платформы, цистерны) и специализированные, приспособленные для перевозок определенного вида груза (изотермические, цементовозы, кислотные и др.). Крытые вагоны используют для перевозки ценных грузов, и грузов, боящихся атмосферных осадков; полувагоны - для массовых наволочных и лесных грузов; цистерны - для наливных грузов (бензин, керосин, молоко и др.). Тяжеловесные и крупногабаритные грузы перевозят в транспортерах грузоподъемностью 400 т. Каждый тип вагона характеризуется грузоподъемностью, вместимостью, массой тары вагона и другими показателями. Грузоподъемность определяется количеством груза в тоннах, которое может быть погружено в данный вагон в соответствии с прочностью его ходовых частей, рамы и кузова, вместимостью - произведением длины вагона на его ширину и высоту.
Важнейшим элементом роста производительности вагонного парка является полное использование грузоподъемности и вместимости вагонов. О степени использования грузоподъемности и вместимости вагона при перевозке того или иного груза можно судить по соответствующим коэффициентам.
Коэффициент использования грузоподъемности Кгр определяется отношением массы груза в вагоне Мгр (т) к его грузоподъемности q (т) :
Коэффициент вместимости Квм рассчитывают как частное от деления объема груза в вагоне Vгр(м3) на вместимость вагона
Чем ближе к единице значение этих коэффициентов, тем выше показатель грузоподъемности или вместимости вагона.
Сравнительно часто отправитель предъявляет к перевозке грузы, обладающие объемной различной плотностью. Раздельная их перевозка приводит к тому, что при перевозке высокоплотного груза грузоподъемность вагона используется хорошо, а вместимость - недостаточно. Противоположный результат получается при перевозке груза, обладающего небольшой объемной плотностью: вместимость вагона используется хорошо, а грузоподъемность - недостаточно.
Особое значение имеют технические нормы загрузки вагонов. Техническая норма загрузки - количество груза, которое должно быть загружено в вагон данного типа при наилучшем использовании его грузоподъемности и вместимости. Ввиду того, что учесть все разнообразие грузов, способов их подготовки и погрузки нельзя, разрабатываются местные технические нормы. Эти нормы согласовываются с грузоотправителями. Техническую норму загрузки определяют для тарных грузов с учетом их свойств и схемы укладки, а для навалочных и насыпных рассчитывают отдельно для перевозки в крытых вагонах и на открытом подвижном составе.
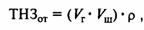
Техническую норму загрузки вагонов определяют по формулам:
для крытых вагонов:
для открытых:
где Vв - полный объем вагона, м3;
kв - коэффициент использования объема вагона при перевозке данного груза;
Vг - объем основной части груза, м3;
Vш - объем «шапки», м3.
р - массовая плотность груза, т/м3.
Для выполнения грузовых, коммерческих и других операций железная дорога имеет грузовые станции, которые оснащены грузовыми устройствами и сооружениями.
Грузовая станция - комплекс путевых и грузовых устройств, технических и служебных помещений, предназначенных для выполнения соответствующих грузовых и коммерческих операций. Она производит операции по приему, погрузке и выдаче грузов и багажа.
Морской и речной транспорт. Основными показателями, характеризующими речные и морские суда, являются водоизмещение, грузоподъемность, грузовместимость, размеры судов (длина, ширина, высота борта) и осадка в груженом и порожнем состояниях.
Водоизмещение (массовое и объемное) определяется массой или объемом воды соответственно, вытесняемой плавающим судном.
Грузоподъемность судна - это его перевозочная способность, выраженная в тоннах.
Дедвейт (или полная грузоподъемность) - количество тонн груза, которое может принять судно сверх собственной массы до осадки по летнюю грузовую марку.
Дедвейт определяется по формуле:
где Вп - массовое водоизмещение судна с полным грузом, т;
Вц - массовое водоизмещение судна без груза, т.
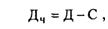
Различают полную и чистую грузоподъемность судна. Полная грузоподъемность Д - это сумма массы служебного (вода, топливо, провиант) и перевозимого груза.
Чистая грузоподъемность Дч равна массе перевозимого груза:
где С - масса всех судовых запасов, т.
Грузовместимость - это способность судна вместить груз определенного объема. Различают грузовместимость одинарную, когда объем всех грузовых помещений, используется единовременно, и составную, или двойную, когда грузовые помещения используются равновременно, по очереди. В зависимости от рода перевозимых грузов определяют грузовместимость для грузов тарно-упаковочных, штучных и сыпучих.
