Курс лекций по Коммерческой логистике
l 0,5 < β < 1,0 l
![]() |
![]()
А l D
lh l
АТП l’’h E
Рис. 18. Схема кольцевого маршрута.
Расчет основных показателей для решения задач:
· время оборота подвижного состава на кольцевом маршруте:
· количество оборотов автомобиля за время работы на маршруте:
где Tм – время работы автомобиля на маршруте, ч;
nгр – количество груженых поездок за оборот;
· дневная выработка автомобиля, т; т • км:
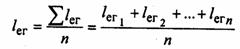
где средняя длина груженой ездки за оборот, км:
· среднее расстояние перевозки за оборот, км:
· среднее время простоя под погрузкой-разгрузкой за каждую ездку за оборот, ч:
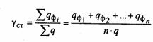
· средний коэффициент статического использования грузоподъемности за оборот.
или
где qфi – масса погружаемого в каждом пункте груза, т;
· Время оборота автомобиля на развозочном маршруте, ч:
где t3 – время на каждый заезд, ч;
n3 – количество заездов.
СПИСОК ЛИТЕРАТУРЫ
Основная литература
1. Гаджинский А.М. Логистика: Учебник – 2-е изд. – М.: ИВЦ «Маркетинг», 1999г.
2. Костоглодов Д.Д., Харисова Л.М. Распределительная логистика. – Ростов Н/Д: ЭБ, 1997г.
3. Логистика: Учебное пособие под ред. проф. Б.А.Аникина. – М.: ИНФРА-М, 1999г.
4. Неруш Ю.М. Коммерческая логистика. – М.: Банки и биржи «ЮНИТИ», 1997г.
5. Неруш Ю.М. Логистика: Учебник для вузов. – 2-е изд., перераб. и доп. – М.: ЮНИТИ-ДАНА, 2001.
6. Основы логистики: Учебное пособие под ред. Л.Б.Миротина и В.И.Сергеева. – М.: ИНФРА-М, 1999г.
7. Родников А.Н. Логистика: Терминологический словарь. – М.: Экономика, 1995г.
8. Семененко А.И. Предпринимательская логистика. – СПб.: Политехник, 1997.
Дополнительная литература
1. Ерохина Л.И., Спиридонова Е.Е. Основы организации обслуживания в системе сервисных услуг. – Уч. пособие. – М.: ГАСБУ, ПТИС, 1999г.
2. Глухов В.В. Основы менеджмента. – Уч.-справ. пособие. – СПб, 1995г.
3. Котлер Ф. Маркетинг и менеджмент. – СПб: Питерком, 1999г.
4. Мескон М., Альберт М., Хедоури Ф. Основы менеджмента. – М.: Дело, 1997г.

