Курс лекций по Коммерческой логистике
- единая ответственность за исполнение договора и сохранность груза;
- сквозная единая ставка фрахта.
Гарантом и организатором взаимодействия всех звеньев транспортной цепи является экспедитор.
4. Маршруты движения автотранспорта
Движение автотранспорта происходит по маршрутам. Маршрут движения – путь следования автомобиля при выполнении перевозок.
Основные элементы маршрута: длина маршрута – путь, проходимый автомобилем от начального до конечного пункта маршрута; оборот автомобиля – законченный цикл движения, т.е. движение от начального до конечного пункта и обратно; ездка – цикл транспортного процесса, т.е. движение от начального до конечного пункта.
Основные элементы маршрута показаны на (рис. 13).
Рис. 13. Основные элементы маршрута.
Расстояние, на которое транспортируется груз за ездку, называется длиной ездки с грузом (lеr).
Маршруты движения могут быть маятниковые и кольцевые. Маятниковый маршрут – такой маршрут, при котором путь следования автомобиля между двумя грузопунктами неоднократно повторяется.
Схемы маятниковых маршрутов показаны на (рис. 14).
а - с обратным холостым пробегом;
б - с обратным не полностью груженым пробегом;
в - с обратным груженым пробегом;
г - кольцевой маршрут
Рис. 14. Схемы маршрутов.
На рис. 14 β - коэффициент пробега автомобиля на маршруте.
Кольцевой маршрут - маршрут движения автомобиля по замкнутому контуру, соединяющему несколько потребителей (поставщиков).
Разновидностями кольцевых маршрутов являются: развозочные, сборные и сборно-развозочные маршруты.
Развозочным маршрутом называется такой маршрут, при котором продукция загружается у одного поставщика и развозится нескольким потребителям. Сборный маршрут - это маршрут движения, когда продукция получается у нескольких поставщиков и доставляется одному потребителю. Сборно-развозочный маршрут - это сочетание развозочного и сборного маршрутов.
Необходимые показатели для расчета работы автомобиля на маршрутах:
tе - время ездки автомобиля, ч;
tо -время оборота автомобиля, ч;
tн - время, затраченное на нулевой пробег, ч;
tгрдв - время движения груженого автомобиля, ч;
tр - время разгрузки автомобиля, ч;
tп - время погрузки автомобиля, ч;
tх - время движения автомобиля без груза, ч;
lег - расстояние груженой ездки, км;
lх - расстояние ездки автомобиля без груза, км;
Qсут - суточный объем перевозки по массе, т;
Wсут - суточный грузооборот, т • км;
nе - количество ездок автомобиля за время работы на маршруте;
Yст - статический коэффициент использования грузоподъемности;
vt - техническая скорость, км/ч;
Ax - количество автомобилей на маршруте;
Тн - время работы автомобиля на маршруте, ч;
q - грузоподъемность автомобиля, т;
l ег - расстояние перевозки в прямом направлении, км;
lег - расстояние перевозки в обратном направлении, км;
lср - среднее расстояние перевозки, км;
bо - коэффициент использования пробега автомобиля за 1 оборот;
Lм - общая длина кольцевого маршрута, км;
no - количество оборотов.
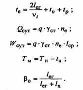
Маятниковый маршрут с обратным холостым пробегом.
ler

lx
lh1=lh2
|
Рис. 15. Схема маятникового маршрута с обратным холостым пробегом.
Технико-экономические показатели для этого маршрута рассчитываются следующие:
при условии:
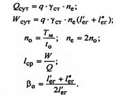
Маятниковый маршрут с обратным неполностью груженым пробегом.
Схема работы автомобиля на маршруте показана на (рис. 16).
0,5 < β < 1,0
ler
lx ler
![]() |
lh1 lh2
|
Рис. 16. Схема маятникового маршрута с неполностью груженным пробегом.
Основные показатели для решения задач:
при перевозке однородного груза:
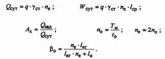
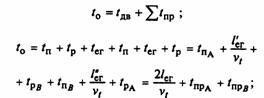
Маятниковый маршрут с обратным полностью груженым пробегом.
Схема работы приведена на (рис. 17).
β = 1,0
ler
ler
![]() |
lh1 lh2
|
Рис. 17. Схема маятникового маршрута с обратным полностью груженым пробегом.
Основные показатели для решения задач:
при перевозке однородного груза:
Кольцевой маршрут.
Схема приведена на (рис. 18).
l
![]()
![]()
В С


