Методика изучения числовых системРефераты >> Математика >> Методика изучения числовых систем
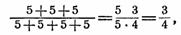
Получается второй способ деления. Применив этот способ к предыдущему примеру, убеждаются, что второй способ - общий, годится для любых случаев деления дроби на целое число (не равное 0). Действительно,
Правило формулируется так: чтобы разделить дробь на целое число, достаточно знаменатель дроби умножить на это число, оставив числитель прежним.
При делении дроби на целое учащиеся встречаются с новым случаем сокращения дробей, поэтому предварительно рассматривается сокращение дроби вида:
.
В связи с изучением деления дроби на целое, ряд авторов учебников предлагает рассмотреть деление дробей с одинаковыми знаменателями. К этому случаю деления можно прийти из рассмотрения следующего примера на умножение:
Чтобы найти множитель, достаточно,
. Получается деление по содержанию; 4 показывает, что
, содержатся в
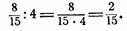
четыре раза. Приходим к выводу, что при делении дробей с одинаковыми знаменателями достаточно числитель первой дроби разделить на числитель второй.
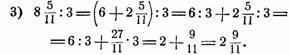
При изучении деления смешанного числа на целое тоже следует разобрать с учащимися два способа выполнения действия, при первом способе смешанное число обращается в неправильную дробь и производится деление дроби на целое число, при втором - применяется распределительный закон деления относительно суммы и делится отдельно целая и дробная часть смешанного числа (предварительна устанавливается справедливость применяемого закона деления). Например.
в дальнейшем промежуточные записи пропускаются).
В результате рассмотрения примеров учащиеся отмечают те случаи, в которых рациональнее применять второй способ деления. Подчеркивается удобство 2-го способа при устных вычислениях.
На этом кончается первая часть изучения действий над дробями, которая тесно примыкает к теме о целых числах, так как определения действий, рассмотренных в этой части, мало отличаются от определений соответствующих действий над целыми числами.
Умножение на дробь
Вторая часть начинается с изучения действия умножения на дробь и представляет новый этап в изучении действий над дробями. Смысл действия умножения на дробь резко отличается от умножения на целое число. Учащиеся привыкли до сих пор понимать под умножением сложение равных слагаемых, произведение считать больше множимого (смысл умножения на единицу им кажется мало отличающимся от обычного понимания умножения). Для умножения на дробь все эти представления не подходят. Поэтому определение умножения на дробь нелегко воспринимается учащимися. Необходимо показать учащимся целесообразность введения нового определения для умножения на дробь и конкретный смысл этого определения. В связи с этим методическая и учебная литература предлагает различные подходы к введению определения умножения на дробь или к выводу правила умножения на дробь, которое в большинстве случаев заменяет определение.
В учебной и методической литературе XVIII века и первой половины XIX века существовал следующий подход к выводу правила умножения на дробь.
Рассуждения велись так: чтобы умножить 5 на
,умножим 5 сначала на 3, получим произведение 15, которое больше истинного, так как множитель увеличен в 4 раза; чтобы получить истинное произведение, надо полученное произведение 15 уменьшить в 4 раза, будем иметь
Такой подход неправилен с точки зрения логического построения математики, так как свойства произведения целых чисел распространялись на произведение в случае дробного множителя, хотя еще не установлено, что значит „умножить число на дробь" и можно ли распространить эти свойства на новое произведение. Кроме того, этот подход страдает формализмом' из этих рассуждений не следует, к каким задачам возможно применение действия умножения на дробь.
Существует еще и такой подход:
(по переместительному закону умножения) =
Отсюда выводится правило. Ошибка этого рассуждения в том, что распространяется переместительный закон на действие, которое еще не определено и не доказано, что оно обладает переместительным законом. Рассуждение было бы правильно, если бы оно построено было так: произведение целого числа на дробь должно быть составлено так, чтобы порядок сомножителей не имел значения, т. е. для действия умножения на дробь оставался бы справедливым переместительный закон. Была попытка дать общее определение действия умножения, пригодное и для целого и для дробного множителя. Это определение было дано в следующей формулировке:
умножить одно число на другое - значит из множимого составить новое число так, как множитель составлен из единицы. Смысл рассуждений при этом был следующий.
При умножении на целое число имеем:
При умножении 5 на
, так как множитель
т. е. единица разделена на 4 и полученное частное взято слагаемым 3 раза, должны получить:
Это определение было в ходу в ряде учебников дореволюционной школы. Основной недостаток этого определения - формальный характер его образования. Из определения неясно, к каким конкретным задачам можно применить умножение на дробь. Нельзя подвести учащихся к составлению этого определения из рассмотрения конкретных задач. Вторым недостатком является математическая неточность. Из определения неясен способ составления множителя из единицы; число может быть составлено из единицы различными способами, как целое, так и дробное. Число
может быть составлено так:
Если при умножении 5 на
произведение из множимого составить так же, как
составлено из единицы, то получим
