Методика изучения числовых системРефераты >> Математика >> Методика изучения числовых систем
Рис.12 Рис.13
Учащиеся получают 4·
. Чтобы выяснить, что это значит, устанавливают по чертежу, что искомая площадь составляет
от площади всего прямоугольника и равна (4 : 4) · 3 = 3 (кв. см). Следовательно, 4·
- значит найти
от 4.
Следует повторить эти рассуждения с прямоугольником, основание которого 2 дм и высота 1 дм, и установить, что значит 2·
; 2·
.
Вообще условились считать, что умножить число на дробь - значит найти эту дробь множимого. Умножить число на правильную дробь - значит найти часть числа, которая выражена этой дробью.
Можно показать целесообразность определения умножения на дробь на решении следующих арифметических задач.
Автомобиль едет со скоростью 45 км в час. 1) Какое расстояние он пройдет в 3 часа? в 7 часов? в
часа? в
часа?.
Записывается решение задач.
Ведутся такие рассуждения.
Условие всех задач одинаково. Дана скорость автомобиля в час и требуется узнать, какое расстояние автомобиль пройдет за некоторое число часов. Для нахождения расстояния в 1-й и 2-й задаче скорость умножали на время. Чтобы одинаковые по смыслу задачи решались одинаковыми действиями, условились и в 3-й и в 4-й задаче называть нахождение
от 45 и
от 45 умножением 45 на
и 45 на
, тогда решение 3-й задачи запишется:
Решение 4-й задачи:
Умножить 45 на
- значит найти
от 45, умножить 45 на
, значит найти
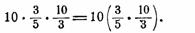
от 45. После этого устанавливается то же определение умножения на дробь. Правило умножения целого числа на дробь выводится после Решения ряда примеров на основании определения. Для вывода правила следует взять такие упражнения, в которых знаменатель дроби и целое не имеют общего множителя. Например.
При умножении целого числа на смешанное число следует рассмотреть два способа умножения, первый — множитель обращается в неправильную дробь, и умножение производится на основании установленного определения; второй — применяется распределительный закон умножения Предварительно устанавливаем справедливость распределительного закона и в том случае, когда одно из слагаемых суммы во множителе — дробь. Следует обратить внимание учащихся на то, что второй способ короче для тех случаев, когда ответ требуется получить в виде смешанного числа Умножение дроби на дробь прорабатывается на основании определения умножения на дробь
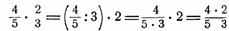
Пример.
.
Ведутся такие рассуждения. Умножить
на дробь
- значит найти
от
. Для этого сначала находим
от
и делим
на 3, получим
. Потом, чтобы найти
от
, умножаем
на 2.
Это записывается так:
Короче можно написать:
Числитель полученной дроби получился от перемножения числителей данных дробей, а знаменатель — от перемножения их знаменателей После рассмотрения ряда примеров выводится правило: чтобы умножить дробь на дробь, достаточно числитель первой дроби умножить на числитель второй и знаменатель на знаменатель и первое произведение сделать числителем, а второе знаменателем произведения.
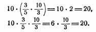
Необходимо показать учащимся на частных примерах справедливость основных законов умножения для дробных чисел. Приведем несколько упражнений, убеждающих в справедливости сочетательного закона для дробных чисел.
Вычислить устно:
Разбираются два способа вычисления:
Результат получился одинаковый, следовательно,
При рассмотрении умножения смешанных чисел обычный прием путем обращения смешанных чисел в неправильные дроби не вызывает затруднения. Следует обратить внимание на другой способ умножения смешанных чисел — умножение по частям, отдельно на целое число и на дробь. Этот способ удобен в некоторых случаях при устном счете.
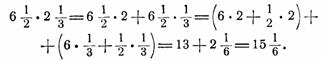
Например, при умножении 6
·2
выгоднее считать так:
Необходимо обратить на этот способ внимание еще и потому, что учащиеся часто при устном счете неправильно им пользуются, умножая целое на целое число и дробь на дробь, и сумму полученных произведений считая за искомое произведение. Неправильность таких вычислений следует показать на решении конкретной задачи, лучше всего с геометрическим содержанием. Рассмотреть следующую задачу.
Построить прямоугольник, основание и высота которого 2
ед. и 3
ед., и найти его площадь двумя способами:
