Оценка конкурентоспособности продукцииРефераты >> Математика >> Оценка конкурентоспособности продукции
Определение. Пусть имеется два вектора
Вектор называется оптимальным по Парето, если для
выполняются соотношения
и хотя бы для одного i выполняется строгое неравенство.
Очевидно, что при этом не имеет смысла говорить о единственном решении, так как нет никакой информации для того, чтобы предпочесть один объект из множества Парето другому. Поэтому, если задача заключается в выборе единственного объекта, лицо, принимающее решение (ЛПР), должно выбрать решение, основываясь на ряде субъективных факторов. При этом ему приходится сравнивать между собой все объекты из множества Парето, то есть сначала необходимо установить приоритет (или ранг) для всех объектов из множества Парето, а затем выбрать в качестве единственного решения тот объект, который будет иметь наивысший приоритет (ранг).
Предлагаемый способ решения многокритериальных задач ранжирования можно разбить на следующие этапы:
Этап 1. Формулируется задача НМП (нечеткого математического программирования):
, (16)
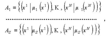
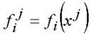
где
— функция принадлежности элемента x j ко множеству Ai, характеризующая степень близости значения i-го критерия в рассматриваемой пробной точке
к оптимальному значению данного критерия. Функции принадлежности строятся с помощью процедуры, выбираемой ЛПР. Сначала необходимо задать функции принадлежности
, а затем для каждого fij рассчитать значение
.
Этап 2. На основе полученных значений
для каждого объекта рассчитывается агрегирующая функция:
, (17)
где * — некоторая бинарная операция.
Этап 3. После осуществления этапа 2 каждому j-му объекту будет соответствовать единственный числовой параметр
. Для определения оптимальной точки из числа всех пробных точек необходимо выбрать пробную точку с номером j 0, для которой
. (18)
Выбор вида функций принадлежности зависит от ряда субъективных факторов, которые обязательно присутствуют, так как выбор осуществляет ЛПР.
Выбор наиболее конкурентоспособного образца продукции — частный случай многокритериальной задачи ранжирования. Необходимо внести следующие изменения:
1) ввести ограничения для значений функции принадлежности: [0; 1]; значение функции принадлежности будет характеризовать степень удовлетворения потребности в i-й характеристике j-м образцом продукции. Причем если
= 0, то значение i-й характеристики неудовлетворительно, а если
= 1, то потребность в i-й характеристике удовлетворена полностью;
2) если нет возможности определить параметры функции принадлежности, то рекомендуется следующая процедура. Выберем объект
обладающий наилучшим значением признака
. Значение функции желательности для него составит
. Значение функции принадлежности для остальных объектов рассчитывается по формулам (19) и (20):
, (19)
если улучшению признака соответствует увеличение его значения;
, (20)
если улучшению признака соответствует уменьшение его значения;
3) для учета различного влияния разных показателей на агрегирующую функцию преобразовать формулу (14) в следующую:
, (21)
где М1 .M j — значение степени. Чем меньше значимость показателя, тем больше М (значение функции принадлежности лежит в интервале [0; 1], поэтому при возведении в бо2льшую степень получается меньший результат). Рекомендуем наиболее значимому фактору присваивать М = 1;
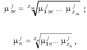
4) характеристики, так же как и в способе I оценки конкурентоспособности, разбить на потребительские и экономические. Для каждой из групп найти агрегирующую функцию
, которые предлагается рассчитывать как среднее геометрическое значений функции принадлежности по отдельным признакам, то есть:
; (22)
где Sэк и Sп — количество экономических и потребительских показателей, соответственно.
Показатель конкурентоспособности будет равен их произведению:
. (24)
Почему в качестве бинарной операции выбрана функция среднего геометрического, а не, к примеру, среднего арифметического?
Используя формулу среднего геометрического для расчета агрегирующих функций желательности, получаем, что при неудовлетворительном значении какого-либо признака (
= 0) объект является абсолютно неконкурентоспособным (Mj = 0, следовательно, и К = 0), что соответствует действительности. Используя, например, формулу средней арифметической, в том же случае будет наблюдаться лишь незначительное снижение показателя конкурентоспособности К [10].
ЗАКЛЮЧЕНИЕ
В рыночной экономике решающим фактором коммерческого успеха товара является конкурентоспособность. Это многоаспектное понятие, означающее соответствие товара условиям рынка, конкретным требованиям потребителей не только по своим качественным, техническим, экономическим, эстетическим характеристикам, но и по коммерческим и иным условиям его реализации. Более того, важной составной частью конкурентоспособности товара является уровень затрат потребителя за период его эксплуатации.
Конкурентоспособность — более высокое по сравнению с товарами-заменителями соотношение совокупности качественных характеристик товара и затрат на его приобретение и потребление при их соответствии требованиям рынка или его определенного сегмента. Иначе: конкурентоспособным считается товар, у которого совокупный полезный эффект на единицу затрат выше, чем у остальных, и при этом величина ни одного из критериев не является неприемлемой для потребителя.
Факторы, определяющие конкурентоспособность товаров и услуг:
· Качество товаров и услуг;
· Цена товаров и услуг;
· Уровень квалификации персонала и менеджмента;
