Оценка конкурентоспособности продукцииРефераты >> Математика >> Оценка конкурентоспособности продукции
Собственно, указанные недостатки являются и ограничениями применения традиционного метода конкурентоспособности товара [10].
2.2.2. Определение конкурентоспособности с использованием функции желательности
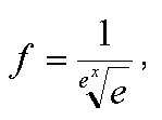
Использование функции желательности f для определения конкуренто-способности товара предложено Гончаровой Н.П. Функция желательности определяется следующим образом:
, (9)
где е — основание натурального логарифма; х — приведенное значение исследуемого параметра объекта.
Функция определена в интервале 0 .1 и используется в качестве безразмерной шкалы, названной шкалой желательности, для оценки уровней параметров сравниваемых объектов (изделий).
С помощью шкалы желательности оцениваются параметры объектов или изделий с точки зрения их пригодности к использованию, или желательности, по отношению к какому-либо практическому применению. Каждому фактическому значению функции желательности придается конкретный экономический смысл, связанный с уровнем конкурентоспособности исследуемого объекта или изделия. Причем значение функции желательности, равное 0, соответствует неприемлемому уровню параметра, при значении которого изделие непригодно для выполнения стоящих перед ним задач; значение функции желательности, равное 1,00, соответствует полностью приемлемому уровню параметра, либо такому значению параметра, при котором дальнейшее улучшение нецелесообразно или невозможно. Промежуточные значения функции желательности, их экономическая характеристика приведены в табл. 1.
Для выполнения дальнейших расчетов и графических построений необходимо получить значения приведенного параметра изделия, соответствующие узловым точкам шкалы желательности (табл. 1).
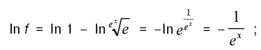
Из формулы, приведенной выше, определим нужное значение. С этой целью прологарифмируем обе части уравнения:
(10)
(11)
Повторное логарифмирование позволяет получить следующую зависимость:
x = –ln [–ln f]. (12)
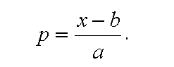
С целью обеспечения возможности использования функции желательности для оценки параметров различной размерности и порядка производится приведение параметров изделия р к значениям приведенного параметра x функции желательности f. Для этого по известным значениям x и р на границах интервалов функции желательности строится аппроксимирующая функция и определяются ее параметры (коэффициенты). Наиболее простая — это линейная функция вида
х = a х р + b, (13)
где a, b — коэффициенты аппроксимации.
Таблица 2.2 - Параметры функции желательности
Процедура получения оценки уровня параметра изделия по шкале (функции) желательности f включает следующие этапы:
а) определение значений приведенного параметра х, соответствующих узловым точкам шкалы желательности f;
б) определение значений параметра p, соответствующих границам интервалов шкалы желательности f (согласно условиям (критериям), приведенным в табл. 2.2);
в) определение коэффициентов аппроксимации по данным х и р;
г) вычисление значения x для конкретного значения оцениваемого параметра p;
д) определение значения функции желательности f для оцениваемого параметра.
Очевидно, что результаты сравнительной оценки конкурентоспособности различных изделий-аналогов будут в значительной степени зависеть от того, какие конкретные значения на шкале параметров будут поставлены в соответствие границам интервалов шкалы желательности f. Если заранее неизвестны требования конкретных потребителей, данный метод рекомендует придерживаться следующих правил:
а) за f = 1,00 принимается уровень параметра, превышающий лучший мировой, или максимально возможный уровень, или уровень, улучшать который не имеет смысла;
б) за f = 0,80 принимается лучший мировой уровень, то есть наилучшее значение параметра среди всех рассматриваемых изделий;
в) за f = 0,20 принимается самый низкий уровень среди всех рассматриваемых изделий;
г) за f = 0,00 принимается наиболее низкий уровень значения исследуемого параметра изделия, который можно себе представить;
д) интервал на шкале параметров, соответствующий значениям функции желательности f = 0,20 .0,80, следует разбить равномерно. При этом значения параметра p в точках, соответствующих значениям функции желательности 0,37 и 0,63, определяются из уравнения аппроксимации:
(14)
В качестве критериев оценки могут быть приняты как количественные, так и качественные измерители. В последнем случае оценки качественного параметра (например, имидж изделия или фирмы, его производящей) могут быть также сделаны в соответствии с рекомендациями, приведенными в табл. 2.2
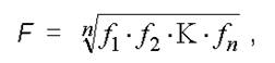
Имея оценки уровней отдельных параметров изделия, рассчитываем уровень конкурентоспособности всего изделия с помощью обобщенной функции желательности F:
, (15)
где f — значение функции желательности для i-го параметра изделия; n — количество анализируемых параметров изделия.
Сравнивая значение F различных изделий, определяем изделие, обладающее в данное время наилучшей совокупностью потребительских свойств. Этому изделию будет соответствовать наибольшее значение обобщенной функции желательности.
Данный метод страдает также рядом недостатков, а именно:
1) при расчете конкурентоспособности не учитывается различное влияние разных параметров на конкурентоспособность продукции;
2) для каждого из параметров предлагается определять только одну аппроксимирующую функцию. Это не всегда может обеспечить необходимую достоверность расчетов, особенно при использовании в качестве аппроксимирующей линейной функции. В данном случае предлагаем (если возможно получить значения р для всех узловых значений х) строить аппроксимирующую функцию по узловым точкам, ближайшим к значениям параметра изделия [10].
2.2.3 Определение конкурентоспособности продукции методом многокритериальной оптимизации
Рассмотрим постановку многокритериальной задачи ранжирования: пусть имеется N объектов
и каждому объекту присущи S признаков, выраженных количественно. То есть имеется дискретный набор значений
где —
значение i-го признака для j-го объекта.
Желательным является выбор такого объекта, у которого значение любого признака является лучшим по сравнению с другими рассматриваемыми объектами. Очевидно, что такой объект не всегда существуют и у каждого есть свои преимущества и недостатки, особенно если S >> 1. Поэтому выбор такого объекта не всегда возможен. В этом случае одним из наиболее распространенных методов решения является метод, основанный на выделении множества Парето из множества всех объектов.
