Оценка конкурентоспособности продукцииРефераты >> Математика >> Оценка конкурентоспособности продукции
Таким образом, принцип рациональности поведения рыночных субъектов позволяет применять в процессе моделирования конкурентоспособности продукции законы общей теории ценности, теории полезности и другие законы психологии и социологии.
Предложенные принципы являются результатом синтеза ранее известных законов и концепций и выдвигаются в качестве основных для решения конкретной задачи — оценки конкурентоспособности продукции и определения стратегии и тактики возможных действий в области управления ею с целью наиболее полного удовлетворения интересов потребителей и производителей одновременно [4].
2.2 Методы оценки конкурентоспособности товаров
Существует несколько методов расчета показателя конкурентоспособности.
Однако прежде чем рассчитывать количественное значение показателя конкурентоспособности, необходимо провести ряд дополнительных исследований.
На первой стадии проводится экспериментальное определение или расчет всех характеристик собственного товара, включая и те, которые можно выявить только в процессе его эксплуатации (энергоемкость, требуемая периодичность смазывания или замены деталей).
На второй — определяются цели оценки конкурентоспособности, которые зависят от стадии жизненного цикла товара, от стратегии и планов развития фирмы и т.д. Перед тем как вывести новый товар на рынок, нужно удостовериться, что он по своим показателям не уступает конкурентам и может привлечь внимание покупателей. Со временем конкурентоспособность товара может либо повышаться, либо снижаться в связи с изменением предпочтений потребителей, появлением новых или уходом с рынка старых конкурентов и т.д.
На третьей — методами маркетинга проводятся сегментация рынка и обоснование целевого сегмента. Если таковых окажется несколько, то оценку конкурентоспособности товара необходимо проводить для каждого сегмента отдельно [10].
2.2.1 Определение конкурентоспособности продукции методом расчета единичных и групповых показателей
В основе данного — традиционного — метода лежит расчет единичных и групповых показателей, на базе которых определяется интегральный показатель конкурентоспособности. Рассмотрим его более подробно.
На первом этапе выбирается база сравнения. В качестве базы для сравнения может служить лучший из уже существующих на целевом рынке или в мире товаров-конкурентов, или более совершенный образец, появление которого ожидается в ближайшем будущем, или некоторый абстрактный эталон. Если разбить товары на три группы, а именно:
· имеющие аналоги и уже выведенные на рынок;
· имеющие аналоги и находящиеся на стадии разработки;
· не имеющие аналогов,
то получаем, что первый вариант базы сравнения лучше использовать для первой группы, второй — для группы 2, третий — для группы 3.
На втором этапе выделяются наиболее значимые для потребителя критерии. Они делятся на две группы: потребительские и экономические. Первые включают в себя качественные характеристики товара (производительность, габариты, экологическая безопасность, надежность и т.д.), вторые — цену товара, затраты на транспортировку, монтаж и эксплуатацию, что в целом составляет цену потребления. Значение критерия у базисной модели обозначим РБ, а у сравниваемого образца — Р.
На третьем этапе по каждому критерию рассчитывается единичный показатель конкурентоспособности (qi). Если увеличение значения критерия влечет за собой повышение качества, то
qi = Pi/PБi, (1)
а если снижение, то
qi = PБi/Pi, (2)
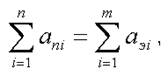
На четвертом этапе внутри каждой группы критериев производят ранжирование показателей по степени их значимости для потребителя и в соответствии с этим присваивают им вес: апi — для потребительских и аэi — для экономических показателей. Причем
, (3)
где n и m — количество потребительских и экономических параметров соответственно.
Необходимость соблюдения этого равенства обоснуем ниже.
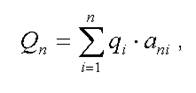
На пятом этапе проводится расчет группового показателя как сводного параметрического индекса конкурентоспособности:
, (4)
, (5)
где Qп и Qэ — сводные параметрические индексы конкурентоспособности по потребительским и экономическим свойствам соответственно.
Вернемся к равенству (3). Его соблюдение обеспечивает сопоставимость Qп и Qэ вне зависимости от количества рассматриваемых критериев.
Рассмотрим пример.
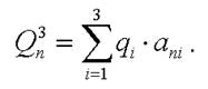
При сравнении двух образцов по трем потребительским критериям получили следующие пары значений: (aпi; qi): (aп1; q1), (aп2; q2), (aп3; q3). Тогда
. (6)
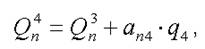
Дополнительное исследование рынка показало, что необходимо добавить еще один критерий, для которого апi = а4, qi = q4. В результате, если пренебречь равенством (3), получим
, (7)
то есть сводный параметрический индекс конкурентоспособности увеличится даже в случае, если q4 < 1, следовательно, наблюдается превосходство базисной модели.
На шестом этапе рассчитывается интегральный показатель конкуренто-способности (К):
К = Qп/Qэ. (8)
Экономический смысл интегрального показателя конкурентоспособности заключается в том, что на единицу затрат потребитель получает К единиц полезного эффекта. Если К > 1, то уровень качества выше уровня затрат и товар является конкурентоспособным, если К < 1 — неконкурентоспособным на данном рынке.
Данный метод имеет ряд недостатков:
1) во всех случаях предполагается линейная зависимость конкурентоспособности от значения критерия, то есть по всем параметрам эластичность спроса равна 1;
2) не учитывается то, что для некоторых критериев существуют ограничения, объективные или субъективные, при нарушении которых конкурентоспособность товара стремится к нулю;
3) при сравнении нескольких товаров необходимо проведение расчетов для каждой пары в отдельности;
4) сложно устанавливать весовые значения aij, особенно для большого количества критериев;
5) невозможно оценить степень влияния на конкурентоспособность товара факторов, не поддающихся количественной оценке;
6) данным методом рассчитывается конкурентоспособность одного объекта относительно другого, а не уровень конкурентоспособности объекта вообще;
7) существует определенная сложность выбора базы сравнения, особенно в случаях, когда в качестве таковой необходимо принять лучший из существующих образцов. Возникает вопрос: как определить, какой товар является лучшим? Поэтому либо необходимо предварительно сравнивать образцы между собой, либо имеет место интуитивный выбор. Можно брать в качестве базы сравнения лидера по продажам, но эта информация часто закрыта, субъективна и трудно собираема, особенно когда речь идет о товарах широкого потребления, которые распространяются по многим каналам сбыта, имеющим несколько уровней.
