Рынок ценных бумаг
Таблица 1
Международные рейтинговые агентства дважды повышали оценку России (Standard&Poor™s повысило рейтинг 26 июля до BB- и 5 декабря до BB).
Депозитарные расписки — основной инструмент обращения на внешнем рынке.
Депозитарная расписка (Depositary receipt) – производная ценная бумага, удостоверяющая, факт того, что ценные бумаги (базовый актив) помещены на хранение в депозитарии банка.
В зависимости от рынка обращения депозитарные расписки делятся на:
Глобальные депозитарные расписки (Global Depository Receipt, GDR) - депозитарные расписки, выпускаемые в нескольких странах, с целью создания возможности обращения акций иностранных компаний в этих странах.
Американские депозитарные расписки (American Depository Receipt, ADR) - в США - депозитарная расписка, удостоверяющая владение акциями компании иностранного государства, приобретенными депозитарным банком США в процессе их размещения на территории США.
Одна АДР может представлять часть акции, одну или несколько акций иностранной компании-эмитента. АДР используются иностранными компаниями для выхода на американский фондовый рынок/
Программы выпуска депозитарных расписок в зависимости от инициирующей стороны могут быть:
Спонсируемые (гарантированные) — когда компания-эмитент предоставляет депозитарному банку финансовую отчетность и субсидирует управление АДР-ами.
Неспонсируемые (негарантированные) когда компания-эмитент не предоставляет депозитарному банку финансовую отчетность, а все расходы по управлению АДР-ами несет депозитарный банк
В зависимости от качества предоставляемой при выпуске АДР информации и качества эмитента выделяют 4 уровня депозитарных расписок:
АДР 1 уровня (Торговая форма депозитарных расписок) форма размещения депозитарных расписок, при которой они могут обращаться только на внебиржевом рынке. Компания-эмитент акций не обязана предоставлять финансовую отчетность, проверенную аудиторами в соответствия с международными стандартами или выполнять все требования по раскрытию информации.
АДР 2 уровня (Листинговая форма депозитарных расписок) форма размещения депозитарных расписок, при которой они регистрируются на американской или другой зарубежной бирже. Компания-эмитент должна отвечать требованиям биржи по листингу, которые обычно включают: минимальное число акционеров, минимальную рыночную капитализацию, предоставление финансовой отчетности за несколько лет.
АДР 3 уровня (Предложение депозитарных расписок) форма размещения депозитарных расписок, при которой они удовлетворяют требованиям Комиссии по ценным бумагам и биржам США в отношении регистрации и отчетности для новых эмитентов
АДР 4 уровня (Частное размещение депозитарных расписок) форма размещения депозитарных расписок, позволяющая получить доступ к международным рынкам путем частного размещения АДР, которое проводится только среди очень крупных профессиональных инвесторов. АДР 4 уровня также еще называют ограниченными.
Смысл выпуска АДР
Основные преимущества для эмитента при выпуске АДР
1. Расширение рынка ценных бумаг компании
2. Улучшение инвестиционной привлекательности компании
3. Механизм для приобретения и слияния компаний
4. Повышается качество и ликвидность акций
Основные преимущества для инвестора при покупке АДР
1. Отсутствие валютных рисков (дивиденды и котировки в долларах США)
2. Отсутствие ограничений на иностранные инвестиции
3. Упрощенная система платежей
4. Более структурированная информация по международным стандартам
Обращение АДР
Присутствие акций российских компаний на мировых рынках можно условно разделить на 2 сектора: американский (США) и европейский (главным образом Германия). Для определенности будем относить название АДР к американскому рынку, а ГДР к европейскому.
На рынке АДР представлено около 30 российских компаний. Большинство российских компаний имеют АДР 1-го уровня, и их акции (в форме АДР) торгуются в ОТС, (американской национальной электронной дилерской сети) являющейся, по сути, внебиржевым рынком. АДР лишь некоторых российских компаний имеют листинги на биржевых площадках США и среди них преобладают компании, работающие в области телекоммуникаций: «Вымпелком», «Московская Городская Телефонная Сеть», «Мобильные Телесистемы», «Ростелеком», «Татнефть». Остальные компании не имеют листингов, что затрудняет выход на мировые фондовые рынки, крупнейшим из которых является американский. Это подтверждается и котировками: несмотря на то, что формально сделки по АДР таких компаний проходят почти каждый день, их котировки не меняются, что может свидетельствовать о простом переводе ценных бумаг с одного счета на другой самой же компанией в целях поддержания инвестиционного имиджа. На самом деле такое положение говорит об отсутствии заинтересованности у иностранных инвесторов в акциях российских компаний.
В ОТС обращаются, в основном, АДР мелких и средних компаний, и присутствие там компаний, таких как РАО ЕЭС, «Лукойл», свидетельствует о низком инвестиционном спросе на их акции в США. А вот акции компаний, представляющих высокие технологии, пользуются спросом. Это и понятно: иностранным компаниям high-tech, прежде всего американским, необходимо искать новые рынки сбыта своей продукции, а связь здесь играет решающую роль.
Иначе обстоит дело в Германии (на рынке ГДР). ГДР котируются на 4 биржевых площадках, причем одни и те же компании зачастую имеют листинги на всех 4 биржах. Судя по объемам и котировкам, сделки с ними проходят активнее, чем в США, что отчасти связано с более простым способом размещения ГДР на немецких биржах, где условия для листинга являются не столь жесткими. Это, прежде всего, ГДР компаний топливно-энергетического сектора: «Газпром» (который вообще не котируется в США), «Лукойл», РАО ЕЭС, «Сургутнефтегаз», «Черногорнефть», «Мосэнерго» и др. Стоит отметить, что ГДР на акции российского high-tech также пользуются некоторым спросом в Европе.
Доходность акции
Инвестиции в акции являются разновидностью финансовых инвестиций, т.е. вложением денег в финансовые активы с цель получения дохода - дополнительных денег. Доходными считаются такие вложения в акции, которые способны, обеспечить доход выше среднерыночного.
Получение именно такого дохода и есть цель, которую преследует инвестор, осуществляя инвестиции на фондовом рынке.
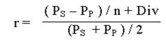
Доходность, которую принесет инвестору акция за несколько лет, можно ориентировочно определить по формуле:
![]() |
где r - доходность от операции с акцией,
РS - цена продажи акции,
РP - цена покупки акции,
Div — средний дивиденд за п лет (он определяется как среднее арифметическое),
п - число лет от момента покупки до продажи акции.
Например, инвестор купил акцию за 2 тыс. руб. и продал через три годи за 3 тыс. руб.; за первый год ему выплатили дивиденд в размере 100 руб., за второй - 150 руб., за третий — 200 руб. Как определить доходность операции вкладчика? Расчет ведем по формуле

