Исследование систем возбуждения эксимерных лазеров на основе LC-контура
Кинетика предыонизации
a)
б)
Парциальное давление HCl: 1торр(а); 2 торр(б). Производительность источника предыонизации I=3.6∙1014 (см∙с)-1.
Рис.15
Кинетика предыонизации
а)
б)
Парциальное давление HCl: 4торр(а); 8 торр(б). Производительность источника предыонизации I=3.6∙1014 (см∙с)-1.
Рис.16
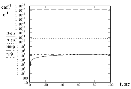
Кинетика предыонизации
а)
б)
Парциальное давление HCl: 1торр. Производительность источника предыонизации I=14.4∙1014 (см3∙с)-1.
Рис.17
;
(23)
Величина колебательного кванта для молекулы HCl составляет 0.37 эВ. N0 определялось начальной концентрацией HCl.
Результаты численных расчетов показывают, что концентрация электронов примерно через 100 нс выходит на стационарный уровень (I/η), причем частота прилипания определяется только концентрацией молекул HCl в основном колебательном состоянии. Для получения концентрации электронов предыонизации ~ 108 см-3 необходимо обеспесчить производительность источника предыонизации ~ 14.4∙1014 (см3∙с)-1 при концентрации молекул HCl ~ 3.3∙1016 см-3. На рис.18 представлены зависимость концентрации электронов достигаемой за 100 нс от парциального давления HCl и производительности источника предыонизации.
Кинетика предыонизации
Зависимость частоты прилипания и концентрации электронов предыонизации от парциального давления HCl (a). Производительность источника предыонизации I=3.6∙1014 (см∙с)-1.
Зависимость концентрации электронов предыонизации от производительности источника предыонизации (б); Iо=3.6∙1014 (см∙с)-1.
Рис.18
Заключение
Разобраны особенности моделирования импеданса разряда различными схемами замещения и вопрос о зависимости активного сопротивления разряда от времени. Исследовано влияние собственной индуктивности разряда на напряжение на разрядном промежутке. Разработана методика расчета систем возбуждения ХеСl лазера, выполненных по типу LC-контура, позволяющая рассчитывать форму импульса напряжения на лазерных электродах и энерговклад в активную среду в зависимости от параметров цепи возбуждения. На практике обычно измеряют напряжение на обострительной емкости, а не на разрядном промежутке. Наша методика позволяет по экспериментальным осциллограммам напряжения на обострительной емкости и разрядного тока достаточно точно расчетным путем получать импульс напряжения на лазерных электродах. Это дает возможность определить реальное Е/P в зависимости от времени на разряде и его среднего значения. Показано, что для уточнения нашей модели расчета LC-контура необходимо задаваться пробойным напряжением конкретного разрядного промежутка для определенного состава газовой смеси.
Теоретические расчеты по кинетике плазмохимических реакций выполняются как правило при постоянном Е/P. Сейчас получено довольно много данных по эффективности образования XeCl* молекул в различных диапазонах Е/P. Поэтому, зная среднее значение Е/P, можно оценивать генерационные характеристики и эффективность работы лазера. Обычно работу системы возбуждения оценивают только по мощности энерговклада в активную среду. Но при одинаковой мощности энерговклада, эффективность системы возбуждения целиком определяется тем, насколько оптимальна величина Е/P для образования XeCl* молекул. Поэтому, при определении мощности энерговклада мы учитывали при каком Е/P основная часть энергии вкладывалась в разряд Изучено влияние параметров контуров возбуждения на энергетические характеристики эксимерных лазеров. Для систем возбуждения ХеСl лазера, выполненных по типу LC-контура, теоретически и экспериментально исследована зависимость разрядного напряжения и энергии генерации от величины обострительной емкости при всех режимах его работы. Показано, что для уменьшения потерь энергии в системе возбуждения необходимо применять многоканальную коммутацию. Наибольшая энергия генерации для LC-контура достигается в том случае, если параметры системы возбуждения таковы, что позволяют сформировать для возбуждения активной среды лазера сдвоенный импульс: короткий высоковольтный (~2U0) для формирования разряда и длинный (~ 10 кВ) для энерговклада в него. Полученные результаты нашли применение для конструирования систем возбуждения технологических электроразрядных эксимерных лазеров. Созданные эксимерные лазеры использованы для изучения воздействия УФ-излучения на полимерные материалы.
Список использованных источников
1. High-power XeCl discharge laser with a large active volume / T.Hasama, K.Miyazaki, K.Yamada e.a. // J.Appl. Phys. – 1987. – Vol.61, №.9. – P.4691–4693.
2. Верховский В.С., Мельченко С.В., Тарасенко В.Ф. Генерация на молекулах XeCl при возбуждении быстрым разрядом // Квант. электрон. – 1981. – Т.8, №2. – С.417–419.
3. Боровков В.В., Воронин В.В., Воронов С.Л. и др. Высокоэффективные газовые лазеры на основе трехэлектродной схемы формирования двойного разряда // Квант. электрон. – 1996. – Т.23, №1. – С.41–42.
4. Баранов В.Ю., Борисов В.М., Христофоров О.Б. Эксимерный электроразрядный лазер с плазменными электродами // Квант. электрон. – 1981. – Т.8, №1. – С.165–167.
5. Ануфрик С.С., Зноско К.Ф., Курганский А.Д. Низкоимпендансный генератор высоковольтных импульсов. // ПТЭ. – 1990. – №3. – С.99–101.
6. С.С.Ануфрик, А.П.Володенков, К.Ф.Зноско, А.Д.Курганский. Влияние параметров LC-инвертора на энергию генерации ХеС1-лазера. // Межвуз. сб. “Лазерная и оптико–электронная техника. – Минск: Университетское, 1992. – С.91–96.
7. С.С. Ануфрик, А.П. Володенков, К.Ф. Зноско, А.Д. Курганский. Влияние параметров LC-инвертора на выходноую энергию XeCl-лазера. // Лазерная физика и спектроскопия: Труды конференции под ред. А.А. Афанасьева.–Минск: Институт физики НАНБ, 1997.–т.1,–С.200-203.
8. Ануфрик С.С., Зноско К.Ф., Курганский А.Д. Оптимизация двухконтурной схемы возбуждения ХеС1-лазера. // Межвуз. сб. “Лазерная и оптико–электронная техника. – Минск: Университетское, 1989. – С.87–91.
9. Anufrik S.S., Znosko K.F., Kurgansky A.D. XeCl-laser with LC-circuit excitation research // Abstracts III-rd Symposium on Laser Technology. Szcecin-Swinoujscie, 24–27 September 1990. – P.47–48.
10. Anufrik S.S., Znosko K.F., Kurgansky A.D. XeCl-laser with LC-circuit excitation research // SPIE. – 1991. – Vol.1391. – P.87–92.
