Молекулярно кинетическая теория
Газ называют идеальным, если:
1) собственный объем молекул газа пренебрежимо мал по сравнению с объемом сосуда;
2) между молекулами газа отсутствуют силы взаимодействия;
3) столкновения молекул газа со стенками сосуда абсолютно упругие.
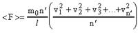
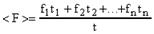
Реальные газы (например, кислород и гелий) в условиях, близких к нормальным, а также при низких давлениях и высоких температурах близки к идеальным газам. Частицы идеального газа в промежутках между столкновениями движутся равномерно и прямолинейно. Давление газа на стенки сосуда можно рассматривать как ряд быстро следующих ударов газовых молекул о стенку. Рассмотрим, как вычислить давление, вызванное отдельными ударами. Представим себе, что по некоторой поверхности происходит ряд отдельных и частых ударов. Найдем такую среднюю постоянную силу <F>, которая, действуя в течение времени t, за которое происходили отдельные удары, произведет такое же действие, как и все эти удары в своей совокупности. В таком случае импульс этой средней силы за время t должен равняться сумме импульсов всех тех ударов, которые получила поверхность за это время, т.е.
, где t1, t2, t3 . tn - время взаимодействия первой, второй, ., n-й молекул со стенкой (т.е. длительность удара); f1, f2, f3 . fn - силы удара молекул о стенку. Из этой формулы следует, что
, (7)
Средняя сила давления, вызванная рядом отдельных ударов о некоторую поверхность, численно равна сумме импульсов всех ударов, полученных этой поверхностью за единицу времени.
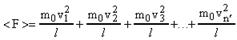
Найдем среднюю силу давления <F>, возникающую вследствие ударов газовых молекул о стенки сосуда. Имеем сосуд в форме куба (рис. 4) с длиной ребра l, в котором движется n молекул, причем масса каждой молекулы равна m0. В результате хаотического движения молекул можно утверждать, что результат их ударов о стенки будет такой же, как будто 1/3 все молекул движется вдоль оси X, ударяя в правую и левую грани, 1/3 - движется вдоль оси Y, ударяя в переднюю и заднюю грани, а 1/3 - вдоль оси Z, ударяя в верхнюю и нижнюю грани.
Рис. 4
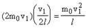
Найдем импульс силы, от удара одной (первой) молекулы по правой грани куба. Пусть молекула движется со скоростью V1 вдоль оси X. При упругом ударе о грань она отталкивается с такой же по модулю скоростью, но с обратным знаком. Импульс молекулы до удара (m0v1) , а после удара равен (-m0v1) . Изменение импульса молекулы за один удар о грань равно (2m0v1) . Подсчитаем число ударов, сделанных молекулой о грань за единицу времени (t = 1 с). От удара до следующего удара об одну и ту же грань молекула пролетает вдоль оси Х расстояние, равное удвоенной длине ребра куба 2l, т.к. ей надо пролететь до противоположной грани и вернуться обратно. За одну секунду молекула произведет (v1/2) ударов. Изменение импульса молекулы за все удары (за 1 сек) можно найти как
. Импульс силы f1t1, полученный молекулой от грани за все удары в течение секунды, равен изменению ее импульса, т.е.
. Такой же импульс получила грань от ударов молекулы. Обозначим число молекул, движущихся вдоль оси Х, через
. Аналогично, различные молекулы, двигаясь с другими скоростями
сообщают грани импульсы ![]()
![]()
или
. (8)
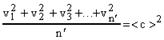
Умножим и разделим правую часть равенства (8) на n'. Тогда получим:
. (9)
Сумма квадратов скоростей движущихся молекул деленная на их число равна квадрату средней квадратичной скорости <c>2 движения молекул, т.е.:
. (10)
Используя выражение (10), формулу (9) запишем в виде:
или, учитывая, что (11)
Давление газа р определяется силой, действующей на единицу площади (площадь грани куба с ребром l равна l2).
или, используя формулу (11) запишем:
. Объем куба V = l3. Такой же объем занимает газ. Поэтому:
(12)
Формула (12) есть основное уравнение молекулярно-кинетической теории идеального газа для давления. Сделанный вывод для сосуда в форме куба оказывается справедливым для сосуда любой формы.
Уравнение (12) можно записать иначе. Отношение
(число молекул в единице объема или концентрация молекул). Умножим и разделим правую часть равенства (12) на 2. Тогда получим:
Величина
- есть средняя кинетическая энергия поступательного движения одной газовой молекулы. Окончательно имеем:
. (13)
Учитывая, что
, получим:
или
. (14)
Таким образом, формулы (12), (13), (14) выражают основное уравнение молекулярно-кинетической теории идеального газа для давления.
5.Скорости газовых молекул
Формулу (12) можно записать в виде:
, (15) где
(масса газа).
Из выражения (15) вычислим среднюю квадратичную скорость движения молекул газа:
. (16)
Зная, что
(R-универсальная газовая постоянная;R=8,31
), получим новые выражения для определения <c>.
. (17)
Опытное определение скоростей движения молекул паров серебра впервые был проведен в 1920 г Штерном.
Рис. 5
Из стеклянного цилиндра Е выкачивался воздух (рис. 5). Внутри этого цилиндра помещался второй цилиндр Д, имеющий с ним общую ось О. Вдоль образующей цилиндра Д имелся прорез в виде узкой щели С. По оси протягивалась посеребренная платиновая проволока, по которой можно было пропускать ток. При этом проволока раскалялась и серебро с ее поверхности обращалось в пар. Молекулы паров серебра разлетались в различные стороны, часть их проходила через щель С цилиндра Д и на внутренней поверхности цилиндра Е получался налет серебра в виде узкой полоски. На рис. 5 положение полоски серебра отмечено буквой А.
