Молекулярно кинетическая теория
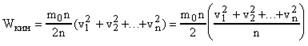
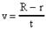
Когда вся система приводилась в очень быстрое движение таким образом, что проволока являлась осью вращения, то полоска А на цилиндре Е получилась смещенной в сторону, т.е. например, не в точке А, а в точке В. Это происходило потому, что пока молекулы серебра пролетали путь СА, точка А цилиндра Е успевала повернуться на расстояние АВ и молекулы серебра попадали не в точку А, а в точку В.
Обозначим величину смещения серебряной полоски АВ = d; радиус цилиндра Е через R, радиус цилиндра Д через r, а число оборотов всей системы в секунду через n
.
За один оборот системы точка А на поверхности цилиндра Е пройдет путь, равный длине окружности 2pR, а за 1 секунду она пройдет путь
. Время t, в течение которого точка А переместилась на расстояние АВ = d, будет равно:
. За время t молекулы паров серебра пролетали расстояние CA = R - r. Скорость их движения v может быть найдена, как пройденный путь, деленный на время:
или, заменяя t, получим:
.
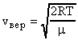
Налет серебра на стенке цилиндра Д получался размытым, что подтверждало наличие различных скоростей движения молекул Из опыта можно было определить наиболее вероятную скорость vвер которая соответствовала наибольшей толщине налета серебра.
Наиболее вероятную скорость можно рассчитать по формуле, данной Максвеллом:
. (18) По вычислениям Максвелла средняя арифметическая скорость движения молекул равна:
. (19)
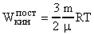
6.Энергия поступательного движения молекул газа
Кинетическая энергия, которой обладают n молекул газа при некоторой температуре Т вследствие своего поступательного движения равна:
или
Так как
, то
. (20)
Из основной формулы кинетической теории (12) следует, что
. (21)
Разделив (20) на (21), получим:
или
. (22)
Заменим
и запишем
. (23)
Если газ взят в количестве одного моля
, то:
. (24)
Средняя кинетическая энергия поступательного движения одной газовой молекулы:
Так как
, то
. (25)
При одной и той же температуре средняя энергия поступательного движения молекул любого газа одна и та же.
7.Уравнение состояния идеального газа - уравнение Менделеева-Клапейрона
Из основного уравнения молекулярно-кинетической теории (см. формулу (14)) следует закон Авогадро: в равных объемах разнородных газов при одинаковых условиях (одинаковой температуре и одинаковом давлении) содержится одинаковое число молекул:
(для одного газа),
(для другого газа).
Если V1 = V2; Т1 = Т2; r1 = r2, то n01 = n02.
Напомним, что единицей количества вещества в системе СИ является моль (грамммолекула) масса m одного моля вещества называется молярной массой этого вещества. Число молекул, содержащихся в одном моле разных веществ одинаково и называется число Авогадро (NA = 6,021023 1/моль).
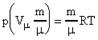
Запишем уравнение состояния идеального газа для одного моля:
, где Vm - объем одного моля газа;
, где Vm - объем одного моля газа; (универсальная газовая постоянная).
Окончательно имеем:
(26).
Уравнение (26) называется уравнением Клапейрона (для одного моля газа). При нормальных условиях (р = 1,013105 Па и Т = 273,150К) молярный объем любого газа Vm = 22,410-3
. Из формулы (26) определим
;
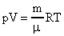
. От уравнения (26) для моля газа можно перейти к уравнению Менделеева-Клапейрона для любой массы газа m. Отношение
дает число молей газа. Левую и правую части неравенства (26) умножим на
. Имеем
, где
объем газа). Окончательно запишем:
27). Уравнение (27) - уравнение Менделеева-Клапейрона. В это уравнение можно внести плотность газа
и
. В формуле (27) заменим V и получим
или
(28).
8.Опытные газовые законы. Давление смеси идеальных газов (закон Дальтона)
Опытным путем, задолго до появления молекулярно-кинетической теории, был открыт целый ряд законов, описывающих равновесные изопроцессы в идеальном газе. Изопроцесс - это равновесный процесс, при котором один из параметров состояния не изменяется (постоянен). Различают изотермический (T = const), изобарический (p = const), изохорический (V = const) изопроцессы. Изотермический процесс описывается законом Бойля-Мариотта: "если в ходе процесса масса и температура идеального газа не изменяются, то произведение давления газа на его объем есть величина постоянная PV = const(29). Графическое изображение уравнения состояния называют диаграммой состояния. В случае изопроцессов диаграммы состояния изображаются двумерными (плоскими) кривыми и называются соответственно изотермами, изобарами и изохорами.
Изотермы, соответствующие двум разным температурам, приведены на рис. 6.


