Молекулярно кинетическая теория
Рис. 6
Изобарический процесс описывается законом Гей-Люссака: "если в ходе процесса давление и масса идеального газа не изменяются, то отношение объема газа к его абсолютной температуре есть величина постоянная:
(30).
Изобары, соответствующие двум разным давлениям, приведены на рис.7.


Рис. 7
Уравнение изобарического процесса можно записать иначе:
31), где V0 - объем газа при 00С; Vt - объем газа при t0C; t - температура газа в градусах Цельсия; a - коэффициент объемного расширения. Из формулы (31) следует, что
. Опыты французского физика Гей-Люссака (1802 г) показали, что коэффициенты объемного расширения всех видов газов одинаковы и
, т.е. при нагревании на 10С газ увеличивает свой объем на часть того объема, который он занимал при 00С. На рис. 8 изображен график зависимости объема газа Vt от температуры t0C.
Рис. 8
Изохорический процесс описывается законом Шарля: "если в ходе процесса объем и масса идеального газа не изменяются, то отношение давления газа к его абсолютной температуре есть величина постоянная:
(32)
Изохоры, соответствующие двум разным объемам, приведены на рис. 9.


Рис. 9
Уравнение изохорического процесса можно записать иначе:
(33), где
- давление газа при
С;
- давление газа при t; t - температура газа в градусах Цельсия;
- температурный коэффициент давления. Из формулы (33) следует, что
. Для всех газов
и
. Если газ нагреть на
С (при V=const), то давление газа возрастет на
часть того давления, которое он имел при
С.
На рис.10 изображен график зависимости давления газа от температуры t.
Рис. 10
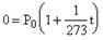
Если продолжить прямую AB до пересечения ее с осью x ( точка
), то значение абциссы этой определиться из формулы (33), если
приравнять нулю.
![]()
;
. Следовательно, при температуре
давление газа должно было бы обратиться в нуль, однако, при подобном охлаждении газ не сохранит своего газообразного состояния, а обратиться в жидкость и даже в твердое тело. Температура
носит название абсолютного нуля.
В случае механической смеси газов, не вступающих в химические реакции, давление смеси также определяется формулой
, где
(концентрация смеси
равно сумме концентраций компонентов смеси всего n - компонент).
Закон Дальтона гласит: Давление смеси
равно сумме парциальных давлений газов, образующих смесь.
. Давления
называется парциальными. Парциальное давление - это давление которое создавал бы данный газ, если бы он один занимал тот сосуд, в котором находится смесь (в том же количестве, в котором он содержится в смеси).
