Исследование системы возбуждения электроразрядного эксимерного лазера выполненной по типу LC-инвертора
Где In0, In1, In2, In3, Un1, Un2, Un3 - соответственно значения токов и напряжений, взятых из задачи расчета режима холостого хода при значении времени t0 нс. Данное время, выбрано исходя из условия максимальности в режиме холостого хода напряжения U3. Для тока I4 принято, что в начальный момент времени (время пробоя межэлектродного промежутка), данный ток равняется 0.
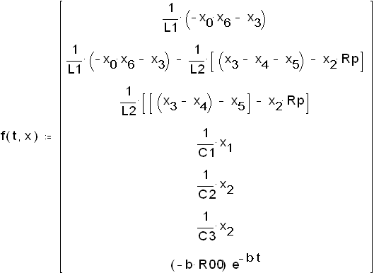
Расчет токов и напряжений схемы накачки выполненной по типу LC-инвертора, производился с помощью математического пакета MathCad 7. Ниже приведена методика расчета данной схемы в MathCad 7 .
2.2 Описание методики расчетов параметров схемы LC-инвертора
![]() |
![]() |
Далее найдем значения токов и напряжений для режима холостого хода. Зададим следующие начальные условия:
![]() |
![]() |
![]() |
Таким образом, мы получили матрицу, в первом столбце которой записаны значения моментов времени, а в последующих значения токов, напряжений и сопротивления коммутатора при работе схемы в режиме холостого хода. Рассмотрим два различных набора параметров схемы LC-инвертора: 1)С1=С2=50 нФ, С3=6нФ, L1=17нГн; 2)С1=С2=150 нФ С3=20 нФ L1=30 нГн. На рис.6 и рис.7 представлены графики зависимости от времени напряжения U3 для обоих случаев соответственно.
![]() |
Рис.6. Напряжение холостого хода (первый случай).
![]() |
Видно что, в первом случае максимальное значение напряжения достигает меньшего значения, чем во втором. Это связано с тем, что величина
, определяющая полупериод колебаний, в первом случае составляет порядка 110 нс а во втором порядка 250 нс. На практике пробой активной среды проходит за время порядка 80-100 нс. Если в первом случае данное время не значительно отличается от времени когда напряжение холостого хода достигает максимального значения, то во втором данное отличие достигает значительной величины. Чтобы приблизить к реальности нашу математическую модель в дальнейшем примем, что зависимость времени пробоя от полупериода колебаний (времени, когда напряжение холостого хода достигает максимального значения) имеет вид:
Где t0 время когда напряжение холостого хода достигает максимального значения. Для нахождения начальных условий для рабочего хода схемы необходимо найти номер максимального значения напряжения холостого хода
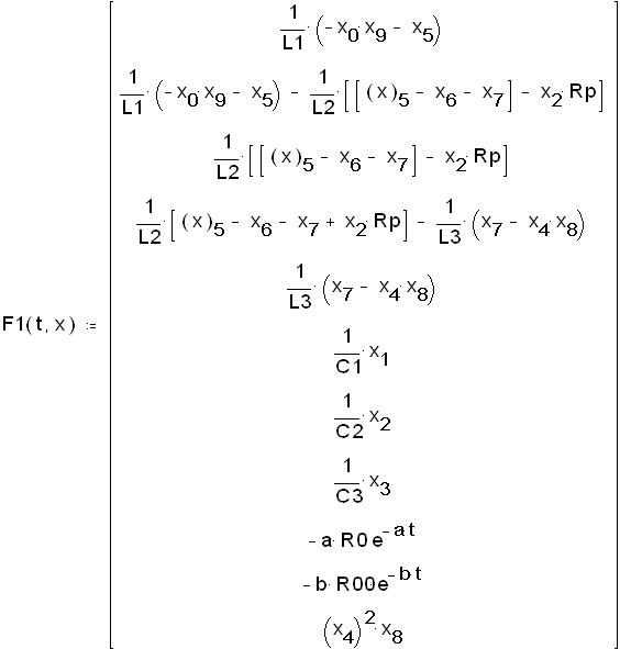
И так, в нашем случае номер равен 296, что соответсвует 29-30 нс. Далее аналогичным образом расчитываем параметры схемы в режиме рабочего хода, используя полученное значение номера для задания начальных условий токов и напряжений:
В итоге получили матрицу, в столбцах которой записаны значения токов, напряжений, сопротивления коммутатора, сопротивления разрядного промежутка и энерговклада. На рис.8 и рис.9 представлены зависимости от времени тока через коммутатор I0 для выбранных ранее вариантов параметров схемы накачки. На рис.8 амплитудное значение тока через коммутатор достигает меньшего значения чем на рис.9. В первом случае максимальное значение тока I0 достигается примерно на 100 нс, т. е. тогда, когда основной энерговклад в активную среду уже произведен. Это свидетельствует о том, что достаточно большое количество энергии остается в контуре L1C1. Во втором случае максимальным значением тока через коммутатор является значение тока I0 во время пробоя межэлектродного промежутка и это значение в три раза превышает максимальное значение
![]() |
Рис.8.Ток чере коммутатор (первый случай).
![]() |
На рис.10 представлена зависимость от времени напряжения холостого хода (напряжения на обострителе) и напряжения на разрядном промежутке в режиме рабочего хода, для первого из рассматриваемых набора параметров схемы возбуждения. Аналогичная зависимость для второго набора представлена на рис.11. Из рис.10 видно, что в нашей математической модели, при данных значениях параметров схемы накачки, пробой межэлектродного промежутка наступает практически в момент времени, когда напряжение холостого хода достигает максимального значения. Во втором случае пробой происходит значительно раньше и напряжение на
![]() |










