Исследование системы возбуждения электроразрядного эксимерного лазера выполненной по типу LC-инвертора
Рис.19. зависимость энерговклада от накопительных емкостей при L1 3 и 30 нГн
При L1 в диапазоне 3-30 нГн получается семейство аналогичных кривых, расположенных между кривыми 1 и 2. В случае когда накопительные емкости имеют значение порядка 27 нФ значение энерговклада невелико в независимости от L1. Причина этого - низкая плотность мощности излучения. В интервале С1=С2=27-75 нФ наблюдается резкий рост вложенной в разрядный промежуток энергии. При С1=С2>75 нФ ход зависимости изменяется и прирост энерговклада замедляется, имеется тенденция к выходу кривых на насыщение. Увеличение С1 и С2 приводит к росту энергозапаса. С другой стороны увеличение С2 приводит к росту величины
, а это снижает напряжение, приложенное к электродам лазера в момент пробоя активной среды. Если рост энергозапаса схемы возбуждения обусловленное ростом С1=С2 приводит к увеличению генерации, то снижение пробойного напряжения на электродах лазера сопровождается нарушением однородности разряда, а следовательно, и уменьшением энергии. Взаимодействие обоих факторов приводит к тому, что при фиксированных значениях L1 и больших С1 наблюдается слабый рост энергии генерации, далеко не пропорциональный росту энергозапаса. При фиксированном энергозапасе (постоянных С1 и С2 ) увеличение L1 приводит к росту
и снижению энергии генерации, о чем свидетельствует расположение кривых на рис.19.
![]() |
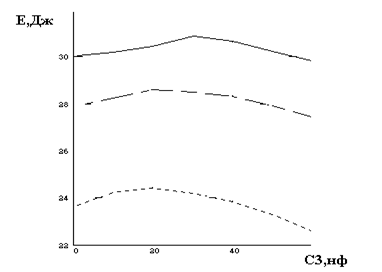
Рис.20. Зависимость энерговклада от обострительной емкости С1=С2=50,100,200 нФ
Видно, что при С3=20-40 нФ выходная энергия лазера принимает максимальные значения. Расположение максимума достаточно слабо зависит от величин С1 и С2, однако их уменьшение приводит к смещению его в сторону меньших значений С3. Увеличение зарядного напряжения сопровождается смещением максимумов кривых в сторону больших значений С3. Уменьшение энергии, вложенной в межэлектродный промежуток при С3=40 нФ обусловлено тем, что наличие обострительной емкости, подключенной параллельно емкости С1С2 /(С1+С2), приводит к уменьшению реально прикладываемого к электродам напряжения.
![]() |
На рис.33 представлена зависимость энерговклада от отношения накопительных емкостей С1 /С2. При малых значениях С1 /С2 порядка 0.1-0.35 за время задержки заряда инверсия напряжения на С1 происходит полностью, однако общий энергозапас, а также обратная инверсия напряжения на С2 приводят к малым значениям вкладываемой энергии. Это особенно заметно для значений С2=50 нФ. При значениях С1 /С2 порядка 0.4-0.6 когда абсолютное значение С1 лежит в пределах 50-80 нФ инверсия напряжения также происходит полностью. Общий энергозапас системы возбуждения также высок и зависимость энергии вложенной в рабочую смесь от С1 /С2 практически выходит на насыщение. С точки зрения КПД именно этот диапазон соотношения С1 /С2 оптимален. В этом случае напряжение питания также не оказывает сильного влияния на выходную энергию лазера, особенно при больших С2. При значениях С1 /С2 порядка 0.6-1, когда абсолютное значение С1 больше 100 нФ, инверсия напряжения на С2 неполная и к межэлектродному промежутку прикладывается заниженное напряжение. Хотя энергозапас системы возбуждения с ростом С2/С1 растет сильно, энерговклад растет значительно медленнее, а КПД уменьшается [10].
Полученные в результате теоретического расчета зависимости имеют достаточно хорошее соответствие с зависимостями полученными в результате экспериментов в работах [10,11].
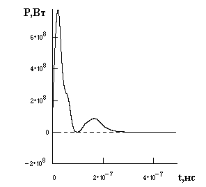
На основании проделанных расчетов можно заключить, что наиболее эффективна (за время меньшее 100 нс вкладывается максимальное количество энергии), схема имеющая следующие параметры:
С1=60 нФ, С2=150 нФ, С3=30 нФ, L1=17 нГн, L2=7 нГн, L3=3.5 нГн.
Причем индуктивности L2 и L3 должны быть минимально возможными для данной схемы. На рис.34 и рис.35 представлены зависимости от времени энерговклада и мощности энерговклада для данной "идеальной" схемы .
![]() |
![]() |
Рис.35 Зависимость мощности энерговклада от времени
![]() |
Рис.22. Зависимость величины энерговклада от накопительной емкости С2=1/2 С1, при С3=30 нф, 60 нф.
![]() |
![]() |
Заключение
Таким образом в настоящей работе была создана математическая модель схемы накачки электроразрядного эксимерного ХеСl лазера, выполненной по типу LC-инвертора, позволяющая получать такие электрические характеристики схемы накачки как токи, напряжения, суммарный энерговклад в активную среду, мощность энерговклада. Исследовано влияние на точность расчетов энерговклада сопротивления разрядного промежутка. Установлено, что в широком диапазоне изменения параметров схемы накачки варьирование сопротивления межэлектродного промежутка в пределах 0.2-1 Ом не вносит существенной погрешности в результаты расчета энерговклада. Рассмотрена зависимость вложенной в разрядный промежуток энергии от времени пробоя. Получены зависимости энерговклада от параметров электрической цепи возбуждения, имеющие удовлетворительное соответсвие с результатами представлеными в работах [10,11] . В результате теоретических расчетов определены оптимальные параметры электрической схемы возбуждения, выполненной по типу LC-инвертора







