Основные показатели, определяющие качество электроэнергииРефераты >> Технология >> Основные показатели, определяющие качество электроэнергии
в) Дополнительные потери активной мощности от внешних гармоник в обкладках конденсаторов:
где Кn,en- коэффициент учитывающий влияние поверсхности эффекта на участке е.
Ке- сопротивление е-го участка.
Способы уменьшения несинусоидальности напряжения в электрических сетях
Увеличение числа фаз выпрямления. С увеличением числа фаз выпрямления форма первичного тока преобразователя приближается в токе выпрямителя и, следовательно, в напряжении сети, уменьшается. Так, например, при 6-фазной схеме выпрямления в токе вентильного агрегата содержатся 5,7,11,13,17,19,23,25- я . гармоники, а при 12-фазной схеме- 11,13,23,25-я . гармоники. Расчеты показывают, что при этом несинусоидальность напряжения сети уменьшается в 1,4 раза. Увеличение числа фаз выпрямления является действенной мерой снижения содержания высших гармоник в кривых первичного тока преобразователей и напряжения сети. Однако эти устройства получаются слишком сложными, дорогими и ненадежными. В настоящее время наибольшее распространение получили 12-фазный режим выпрямления.
Многофазный эквивалентный режим работы преобразо-вателей. Увеличение числа фаз выпрямителя возможно также путем создания эквивалентного режима для группы вентильных агрегатов, при сохранении для каждого из них 6- фазного выпрямителя. Например, 12-фазный эквивалентный режим для двухмостового преобразователя может быть реализован путём соединения одной из обмоток анодного трансформатора в треугольник, а другой - в звезду. В результате в первичных обмотках трансформаторов обеих агрегатов присутствуют гармоники порядков n=6k±1, но в питающую сеть выходят только гармоники порядков n=12k±1, а остальные гармоники тока циркулируют между первичными обмотками трансформаторов.
Снижение уровней гармоник средствами питающей сети достигается в основном рациональным построением схемы электроснабжения, при котором обеспечивается допустимый уровень гармоник напряжения на шинах потребителя. Наиболее распространенными средствами являются применение трансформаторов преобразователей с повышенным напряжением 110-220 кВ; питание нелинейных нагрузок от отдельных трансформаторов или подключение их к отдельным обмоткам трехобмоточных трансформаторов; подключение параллельно нелинейным нагрузкам синхронных и асихронных двигателей.
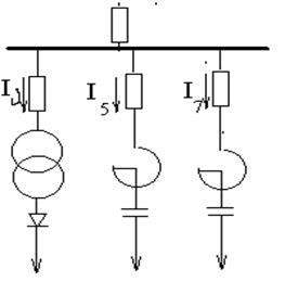
Фильтры высших гармоник Звено фильтра представляет собой конур из последовательно соединенных индуктивности и ёмкости, настроенный на частоту определенной гармоники.
Сопротивление звена фильтра токами высших гармоник
или
где ХLХC-сопротивления индуктивности и ёмкости току промышленной частоты.
С увеличением частоты индуктивное сопротивление реактора увеличивается пропорционально номеру гармоники, а сопротивление батареи конденсаторов уменьшается обратно пропорционально номеру гармоники. На частоте одной из гармоник индуктивное сопротивление реактора звена фильтра становится равным ёмкостному сопротивлению батареи конденсаторов и в цепи звена фильтра возникает резонанс напряжений. При этом сопротивление звена ХФ,n току этой гармоники становится равны нулю и оно шунтирует электрическую систему на частоте данной гармоники.
Номер резонансной гармоники nр может быть вычислен по формуле
Идеальный фильтр полностью потребляет ток гармоники In генерируемый нелинейными элементами. Однако из-за наличия активных сопротивлений в реакторе и конденсаторе и неточной их настройки полная фильтрация гармоник практически невозможна.
Количество звеньев в фильтре может быть любое. Но на практике, как правило, применяют фильтры, состоящие из двух или четырех звеньев, настроенные на 5,7,11,13,23, и 25-ю гармоники.
Одновременно фильтр является источником реактивной мощности и может служить в качестве одного из средств для компенсации реактивных нагрузок.
Основным недостатком фильтров является их высокая стоимость, кроме этого распространение фильтров ограничивает также большая их чувствительность к точности настройки.
.
