Витамины В12 и В15
Устойчивость и взаимопревращения различных классов Кобаламинов изучали с помощью изотопов и другими методами. Все эти вещества без исключения превращаются в витамин B12 под действием цианида. Неудивительно поэтому, что все они обнаруживают биологическую активность в отношении микроорганизмов, а также животных и больных пернициозной анемией, хотя некоторые из них менее активны, чем цианкобаламин.
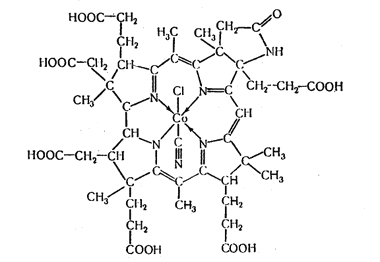
До сих пор мы рассматривали витамин В12 как нейтральное вещество, хотя в действительности это чрезвычайно слабое основание. Это обнаружилось еще в ранних исследованиях при титровании в растворах уксусной кислоты.
Кислотный гидролиз витамина B12
При обработке витамина B12 неорганическими кислотами в различных условиях получено много продуктов расщепления. Одним из первых был идентифицирован аммиак, образующийся при гидролизе амидных групп. Химическое изучение концентратов антипернициозного фактора привело к предположению, что он представляет собой вещество полипептидной природы. Однако при исследовании кислотных гидролизатов обычным методом хроматографии на бумаге в чистых образцах кристаллического витамина не нашли никаких признаков наличия α-аминокислот. Тем не менее, группа исследователей из Британской палаты медицинских препаратов обнаружила на хроматограмме пятно, дающее нингидриновую реакцию*; эта реакция была обусловлена не аминокислотой, а пропаноламином.
При взаимодействии с концентрированной HCl при 65оС происходит отщепление нуклеотида и образование кобинамида (фактора В – см. ниже), затем происходит отщепление и образование кобировой кислоты (фактора V1a).
Нуклеотид
При кислотном гидролизе витамина B12 в жестких условиях образуется 5,6-диметилбензиминазол. Было показано, что полностью нуклеотид соответствует названию 1-α-D-рибофуранозид-5,6-диметилбензиминазол. Сомнительным оставалось только то, в каком положении - 2 или 3 - фосфорилирована рибоза. Окончательно этот вопрос был решен лишь с помощью рентгеноструктурного анализа.
Продукты мягкого кислотного гидролиза
В первом приближении, мягкий гидролиз разбавленной хлороводородной кислотой приводит к частичному дезаминированию, последовательному образованию моно-, ди-, три-, тетра-, пента-, гекса-, гептакарбоновых кислот с сохранением нуклеотида.
Продолжительная обработка витамина B12 холодной разведенной соляной кислотой приводила к медленной потере микробиологической активности, при этом интенсивность красной окраски не изменялась. Было обнаружено, что с увеличением длительности гидролиза возникает все более сложная смесь продуктов. Среди них одно-, двух-, трех- и четырехосновные кислоты, образующиеся при последовательном удалении аммиака из амидных групп. При добавлении азотистой кислоты в этих условиях образовывались также небольшие количества пяти- и шестиосновных кислот, обладающих красной окраской. Монокарбоновые кислоты можно разделить на три. Дикарбоновые кислоты также разделяются на три изомера; трикарбоновые кислоты фракционировать не удавалось. Этого и следовало ожидать при случайном гидролизе трех лабильных амидных групп. Относительные количества получаемых изомеров показывали, что одна из этих групп значительно лабильнее остальных. Три остальные амидные связи гидролизовались только при обработке кислотой в более жестких условиях или при каталитическом воздействии азотистой кислоты. Когда в результате рентгеноструктурного анализа строение витамина было выяснено, появилась возможность истолковать эти наблюдения. Три лабильные амидные группы, очевидно, принадлежат трем цепям пропионамида, а три стабильные группы - ацетамидным цепям.
Это описание продуктов кислотного гидролиза упрощено, так как, за исключением случаев самого мягкого гидролиза, при электрофорезе выявлялась еще одна группа кислот. Эти кислоты образуются в результате отщепления не только ряда молекул аммиака, но также и нуклеотида.
В водном растворе при мягком кислотном гидролизе (а также фотолитически или при каталитическом гидрировании) цианкобаламин, через промежуточную стадию В12r (см. Восстановление витамина В12) с последующим окислением кислородом воздуха переходит в оксикобаламин.
Фактор В
Исследователи из лаборатории Глаксо нашли, что молекулу витамина можно аккуратно разделить на две части кратковременным нагреванием с концентрированной соляной кислотой или, еще лучше, с хлорной кислотой. При тщательно контролируемых условиях (например, 5 мин при 65°) амидные группы почти не подвергались гидролизу и главными продуктами были, нуклеотид и неизмененная остальная часть молекулы. Последний продукт сохранял микробиологическую активность и оказался идентичным природному фактору, выделенному из содержимого рубца жвачных. В присутствии цианида растворы этого вещества имели пурпурную окраску даже при слабо кислой реакции среды. Спектр поглощения был очень сходен со спектром дицианкобаламина, так что в этом состоянии вещество почти наверное содержало два остатка цианида, соединенных координационной связью с кобальтом. Однако в то время как дицианкобаламин имел кислотные свойства, новое соединение было нейтральным. Причина такого различия состояла в отщеплении кислого нуклеотидного остатка. Это наблюдение по существу явилось главным основанием для представления о витамине B12 как внутренней соли.
Ряд кислот, образующихся при гидролизе амидных групп в факторе В, обладал той же относительной стабильностью в их дициано-конфигурации.
Были получены указания на то, что существует 7-я карбоксильная группа, связанная не с аммиаком, а через амин с нуклеотидом. Это подтверждало более раннее предположение о том, что аминопропиловый спирт служит мостиком между двумя частями молекулы, будучи соединенным амидной связью с одной из цепей пропионовой кислоты в планарной группе и эфирной связью - с фосфорной кислотой. В кислых растворах (с рН примерно менее 3) фактор В теряет обе группы цианида и ведет себя как основание. Соответствующие кислоты ведут себя сходным образом, так как карбоксильные группы не подвергаются заметной ионизации. Поэтому все вещества, не содержащие нуклеотида, можно отделить от веществ, еще сохранивших его.
Щелочной гидролиз
Жесткий щелочной гидролиз приводит к отщеплению 5,6-диметилбензимидазола и образованию дилактампента- и монолактамгексакарбоновых кислот.



При обработке витамина B12 перекисью водорода и разведенной щелочью на холоду и получаются микробиологически активные кислые продукты красного цвета. Реакция состоит в гидролизе, катализируемом перекисью водорода. Однако полученные кристаллические продукты, по-видимому, представляли собой смеси моно- и дикарбоновых кислот, образовавшихся в результате мягкого гидролиза, с неизмененным витамином B12, который обусловливал их биологическую активность. Под действием холодной разведенной щелочи, по-видимому, образуются те же продукты, что и при мягком кислотном гидролизе. Однако в присутствии горячей щелочи реакция идет по-иному. Если нагревать витамин B12 в растворе NaOH в отсутствие кислорода, то окраска становится коричневой, а затем приобретает зеленоватый оттенок, это может указывать на уменьшение валентности атома кобальта, сопровождающееся окислением какой-то другой части молекулы. При доступе воздуха цвет снова становится красным. Кратковременное кипячение со щелочью при доступе воздуха дает в качестве главного продукта нейтральное кристаллизующееся красное вещество. Оно почти неотличимо от витамина B12 по физическим свойствам, но не обладает микробиологической активностью. Структура этого соединения была выяснена главным образом путем рентгеноструктурного анализа кристаллов. Продукт, по-видимому, содержит лактамное кольцо, имеющее 2 общих атома с кольцом В и образующееся из ацетамидной цепи; остальная часть молекулы такая же, что и в самом витамине. Добавление тиогликолата натрия или цианида натрия к раствору витамина в основном защищает его от воздействия щелочи и кислорода. Полагают, что реакция протекает при участии свободных радикалов. Производное, содержащее лактам, было названо дегидровитамином B12. Лактамное кольцо чрезвычайно устойчиво и при дальнейшем воздействии щелочи сохраняется. При гидролизе последовательно отщепляются остающиеся амидные группы и нуклеотид. Таким образом, получаются два ряда кислот – с нуклеотидом и без нуклеотида, - но все они отличаются от соответствующих продуктов кислотного гидролиза. Конечным продуктом щелочного гидролиза является гексакарбоновая кислота, а не гептакарбоновая, как при кислотном гидролизе. Это связано с участием одной из потенциальных кислотных групп в построении лактамного кольца. Основное значение этого кристаллического продукта распада состоит в использовании его для рентгеноструктурного анализа.
