Геодезические работы
Для определения площади участка его разбили на два треугольника и тогда площадь вычисляется по следующим формулам:
Разбивка участка на два треугольника
P1 = l / 2 * a * h1= l / 2 * 85 * 35 = 769,19 м2
P2 = l / 2 * a * h2 = l / 2 * 85 * 35 = 769,19 м2
Р общ = P1+ P2 = 1538,38 м2
а - основание треугольника, а = 85 м;
h1, h2-высоты треугольников;
h1= 35 м;
h2= 35 м;
a, h - определены графически.
Точность определения площади участка графическим способом вычисляется последующим формулам:
mP1 = mгр. / 2 a2 + h2 = 0,2 / 2 (85)2 + (35)2 = 9,2 м2
mгр. = 0,2 мм в масштабе плана;
mP2 = mгр. / 2 a2 + h2 = 0,2 / 2 (85)2 + (35)2 = 9,2 м2
mPобщ. = mP12 + mP22 = 9,22 +9,22 = 5,99 м2
т.е. площадь участка равна 1538,38 + 5,99 м2 = 1544,37 м2
4.3 Механический способ
Когда границы участка сильно изломаны, целесообразно воспользоваться механическим способом определение площади. Механический способ предполагает измерение площади участков при помощи планиметра непосредственно по планам (картам).
Планиметры делят на линейные и полярные. К линейным относят планиметры, у которых все точки прибора во время обвода фигуры подвижны, а к полярным - у которых одна точка (полюс) во время обвода фигуры неподвижна.
Наиболее распространен полярный планиметр, состоящий из двух рычагов: обводного и полюсного, соединенных шарниром.
Требования к планиметру:
· счетный ролик должен свободно вращаться (не менее 3 секунд);
· показания счетного ролика должны быть устойчивыми;
· основное геометрическое условие - рифельные штрихи должны быть параллельны оси обводного рычага.
Площадь обведенной фигуры определяется по формуле: Р = р *и
где р - цена деления планиметра, и- разность отсчетов.
Цена деления планиметра определяется путем обвода фигуры с известной площадью.
Средняя квадратическая погрешность определения площади вычисляется по следующей формуле:
mга=0,7p+0,01M/1000 Pга
Глава 5. Методы и приёмы проектирования участка
5.1 Определение координат поворотных точек кварталов
Схема кварталов
5.2 Определение проектной площади каждого участка
Проектная площадь кварталов определяется по координатам.
Р кв. №1= 8629,0 м2
Р кв. №2 = 17874,4 м2
Площадь каждого участка определяется по формуле:
Руч. = Ркв./n
где n - количество участков в квартале.
Контроль: сумма всех участков должна быть равна площади всего квартала.
5.3 Определение недостающих элементов земельных участков
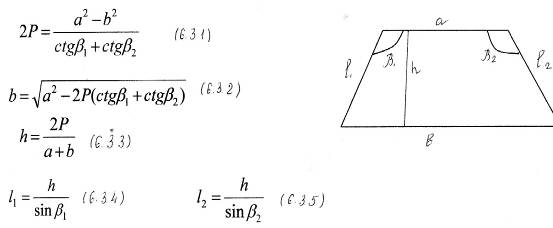
Так как стороны земельных участков кварталов №1 и №2 параллельны, то их форма - трапеция, поэтому для вычисления недостающих элементов участков мы можем воспользоваться следующими формулами:
Т.к. форма последних участков соответственно, не является трапецией, то их площади вычисляются, путем деления каждого участка на 2 треугольника, т.е.
а,b - стороны в предпоследнем участке ;
l1,l2 - боковые стороны последнего квартала,
l2=Sвсего-El1-n,l1 -вычисляется аналогично l2 ;
Sвсего- длина всего квартала вычисленная по координатам;
El1-n-1 - длина боковых сторон всех участков квартала.
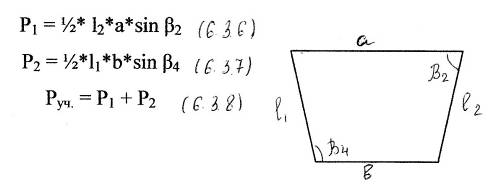
После нахождения недостающих элементов каждого участка проводится контроль. Для этого разбиваем каждый квартал на 2 треугольника и считаем по формулам:
Pi=1/2*a*l2 *sin sin B1
Р2=1/г*Ь*11 *sin sin B2
Руч = P1 + P2
Pпроектн.= ЕPуч.
Вычисление недостающих элементов участков квартала № 1.
Горизонтальные углы кварталов вычисляются по разности дирекционных углов, т.е.:
В=апред.-апослед.+180
|
В |
90°46'17" |
|
В |
89°29'33" |
|
В |
90°20'47" |
|
В |
89°23'23" |
|
Контроль: |
В = 360° |
Вычисление элементов участков квартала №1
Рпр. квартала №1 =8629,0 t м2
|
1 участок |
2 участок |
3 участок |
4 участок |
5 участок |
6 участок | |
|
_1 |
2 |
3 |
4 |
5 |
6 |
7 |
|
Р,м2 |
1438,2 |
1438,2 |
1438,2 |
1438,2 |
1438,1 |
1438,1 |
|
2Р |
2876,4 |
2876,4 |
2876,4 |
2876,4 |
2876,2 | |
|
а, м |
49,20 |
49,3345 |
49,4686 |
49,6023 |
49,7357 | |
|
а2 |
2420,6400 |
2433,8929 |
2447,1424 |
2460,3882 |
2473,6398 | |
|
В1 |
90°46'17" |
90°46'17" |
90°46'17" |
90°46'17" |
90°46'17" | |
|
В2 |
89°29'33" |
89°29'33" |
89°29'33" |
89°29'33" |
89°29!33" | |
|
CtgВl |
-0,013464089 |
-0,013464089 |
-0,013464089 |
-0,013464089 |
-0,013464089 | |
|
CtgВ2 |
0,008857777 |
0,008857777 |
0,008857777 |
0,008857777 |
0,008857777 | |
|
b |
49,3345 |
49,4686 |
49,6023 |
49,7357 |
49,8687 | |
|
h |
29,192 |
29,112 |
29,034 |
28,956 |
28,876 | |
|
l1 |
29,19 |
29,11 |
29,03 |
28,96 |
28,88 |
28,73 |
|
l2 |
29,19 |
29,11 |
29,03 |
28,96 |
28,88 |
28,87 |
|
P1,m2 |
720,1 |
720,1 |
720,1 |
720,1 |
720,0 |
719,8 |
|
Р2,м2 |
718,1 |
718,1 |
718,1 |
718,1 |
718,1 |
718,2 |
|
P1+P2 |
1438,2 |
1438,2 |
1438,2 |
1438,2 |
1438,1 |
1438,0 |
