Распределение температуры по стволу скважины с целью решения геологических и геолого-промысловых задач
Квазистационарное распределение температуры в стволе скважины выше продуктивных пластов для потока жидкости описывается следующей приближенной формулой (Чекалюк Э.Б.)
T(z) = То- Гг + ГВ (1 - е -т ) + AT е^8 , (2.2)
где Т о- естественная температура пород при z = 0 (кровля интервала притока);
Г - средний геотермический градиент для z > 0;
AT - температурная аномалия на глубине z = 0, т.е. разница
между температурой жидкости и пород; z - расстояние, м;
|
|
с - удельная теплоемкость жидкости, Дж/кг*К;
р - плотность жидкости, кг/м3;
Q - дебит жидкости, м3 /с;
го- радиус скважины, м;
а - коэффициент теплопередачи, Вт/м2«К
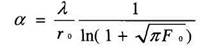
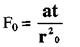
Значение а можно оценить по формуле
|
|
где А, - теплопроводность пород, Вт/м2»К; Fo- число Фурье,
а - температуропроводность
пород, м2/с; t - время работы скважины.
Из (2.4) видно, с удалением от пластов (z—>°°) термограмма становится параллельной геотерме
и она будет тем ближе к естественной
температуре пород, чем меньше дебит (т.е. В). При значительных Q этого участка термограммы в пределах скважины может и не быть.
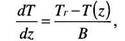
Величина градиента температуры в стволе скважины согласно (2.3)
где Тг =Т0 - Fz - естественная температура пород на расстоянии z;
T(z) - температура в стволе скважины.
Видно, что градиент температуры уменьшается с уменьшением разности температур жидкости и пород и с увеличением параметра В.
При известном (рассчитанном по 2.5 или оцененном в других скважинах) значении коэффициента теплопередачи а зависимость 2.6 можно использовать для оценки дебита жидкости по термограмме.
Фильтрация жидкости и газов в пласте, прохождение сужений сопровождается падением давления (явление дросселирования). При этом температура флюида изменяется: жидкости разогреваются, газы охлаждаются. Величина установившегося изменения температуры AT зависит от коэффициента Джоуля - Томсона флюида е и депрессии на пласт АР:
(2.4)
Значение е для нефтей колеблется в пределах 0,04-^0,06 °С/ат, для воды примерно равняется 0,02 °С/ат, для газов он отрицателен и на порядок больше, чем для нефтей - ег «- (0,3 - 0,5) °С/ат .
Таблица 2.1. Усредненные значения коэффициента Джоуля Томсона для различных жидкостей.
|
Жидкость |
Температура, °С |
е, °С/ат |
|
Пресная вода |
20 |
0.0216 |
|
40 |
0.0208 | |
|
Минерализованная вода |
20 |
0.0225 |
|
Нефть Арланская |
20 |
0.0415 |
|
Нефть Федоровская |
20 |
0.0377 |
|
Нефть Ромашкинского мест. |
45 |
0.0398 |
|
Газ метан(при р =1.73 МПа) |
21 |
-0.418 |
|
71 |
-0.279 |
Формула (2.7) справедлива по истечении времени, когда через постоянную воронку депрессии прошло несколько поровых объемов флюида.
При поступлении из пласта смеси различных жидкостей и газов суммарный температурный эффект ATZ зависит от массовой доли различных компонентов
|
АТУ= |
._ AT,c,G1+AT,c,G,+ .ATc G
c1G1+c2G2+ .+coGo
(2.5)
здесь С; - удельная теплоемкость компонента i;
в продукции пласта. i - массовая доля i-ro компонента
Из (2.8) следует, что с увеличением обводненности при одинаковой депрессии температурная аномалия вследствие дросселирования будет уменьшаться. Поскольку газы при дросселировании охлаждаются, а жидкости нагреваются, изменение температуры газожидкостной смеси может быть как положительным (ATs>0), так и отрицательным (ATS< 0), а может и отсутствовать (ATS= 0).
Обычно скважины эксплуатируются при забойном давлении, превышающем давление насыщения нефти газом. Однако при определенных условиях, например, при компрессорном освоении, оно может оказаться ниже давления насыщения. Кратковременное снижение забойного давления ниже давления насыщения можно осуществить и специально, как будет показано ниже, для повышения эффективности решения отдельных задач, например, при исследовании фонтанных скважин.
Пластовые нефть и вода содержат растворенный газ. Газосодержание -нормальный объем газа в м3, растворенного в 1 кубическом метре пластовой жидкости. Содержание газов в пластовой воде (единицы м3/м3) пренебрежимо мало по сравнению с газосодержанием пластовых нефтей (до нескольких сотен м3/м3).
Давление насыщения нефти газом - это давление, при котором начинается разгазирование нефти, выделение растворенного газа в свободную газовую фазу (появляются первые пузырьки газа).
Газовый фактор - это нормальный объем газа (т.е. объем газа в пересчете на нормальные условия), добываемый из скважины на кубометр или тонну добываемой нефти.
При эксплуатации скважины с забойным давлением ниже давления насыщения выделение из нефти растворенного газа будет происходить в призабойной зоне пласта. Тогда в удаленной части пласта, где давление выше давления насыщения, будет происходить однофазная фильтрация нефти с положительным дроссельным эффектом. В призабойной зоне, где давление ниже давления насыщения, будет наблюдаться двухфазная фильтрация нефти и выделяющегося из нефти свободного газа. Фильтрация газа сопровождается отрицательным температурным эффектом.
Разгазирование нефти (выделение растворенного в нефти газа в свободную газовую фазу) сопровождается поглощением тепла и приводит к дополнительному охлаждению смеси.
