Распределение температуры по стволу скважины с целью решения геологических и геолого-промысловых задач
а - температуропроводность среды.
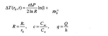
Баротермический эффект в пласте - это изменение температуры в насыщенной пористой среде, обусловленное изменением давления при отсутствии фазовых превращений. При отсутствии фильтрации флюида баротермический эффект сводится к эффекту адиабатического расширения и сжатия. При стационарной фильтрации флюида он тождественен эффекту Джоуля-Томсона. Изменение дроссельной температурной аномалии на забое скважины во времени можно оценить по формуле (Чекалюк Э.Б.):
Е - коэффициент Джоуля-Томсона флюида;
АР - депрессия на пласт;
RK, г0 - радиус контура питания (воронки депрессии) и скважины;
СЖ,СП - объемная теплоемкость жидкости и насыщенной этой жидкостью пористой среды;
Q - дебит;
h - эффективная толщина пласта. Для нефтенасыщенных песчаников с = 0,8, водонасыщенных - с =1,2.
Если подвижность флюида (k/ц) в интервале притока нефти меньше, чем подвижность (k/ц) воды, в начальные моменты времени притока за счет большего удельного дебита вода может разогреваться сильнее нефти. Затем будет наблюдаться нормальное изменение температуры нефти и воды (ТН>ТВ). В этом смысле можно говорить об инверсии дроссельного эффекта для нефти и воды. Объясняется инверсия различием подвижностей воды и нефти: более подвижная вода за одно и тоже время проходит большую часть воронки депрессии, чем нефть и разогревается сильнее. На рисунке 2.6 приведены результаты расчетов по формуле (2.13) для нефти и воды.
Рис.2.6. Изменение во времени дроссельной температурной аномалии в интервале притока нефти (кр.1) и воды (кр.2). Удельный дебит нефти 1 м3/сут м, воды -10 м3/сут-м.
Явление инверсии температурной аномалии в интервалах притока нефти и воды используется для выделения интервалов нефтеводопритоков при компрессорном освоении скважин.
Изменение температуры во времени на забое скважины с забойным давлением ниже давления насыщения носит немонотонный характер. Измеряемая на забое температура, как и в квазистационарном случае, определяется суммарным эффектом разгазирования нефти (охлаждение) и дросселирования жидкостей (разогрев) и выделившегося в пласте газа (охлаждение). Как следует из п.2.4.6 дроссельный разогрев увеличивается со временем, а охлаждение вследствие разгазирования нефти определяется в основном газовым фактором и формируется гораздо быстрее. Поэтому вначале вклад разгазирования превалирует и забойная температура снижается, с увеличением времени в зависимости от газового фактора забойная температура растет и устанавливается положительная или отрицательная температурная аномалия.
Таким образом, при регистрации переходных температурных полей непосредственно после пуска скважины (например, при ее компрессировании) явление инверсии температурной аномалии на забое скважины при снижении давления ниже давления насыщения нефти и аномальная связь между температурой и давлением, показанная в п.2.3.6, будут наблюдаться и при меньших значениях инверсного и критического газового факторов.
Распределение температуры в зумпфе скважины вблизи работающего пласта обусловлено теплоотдачей от пласта в подстилающие породы. Для малых времен эксплуатации скважины оно зависит в основном от времени и температуропроводности а пород. Отклонение температуры от фоновой можно оценить по формуле
AT(z,t) = АТ0 erfc (z/2Vat) (2.15)
Здесь АТ0 - величина температурной аномалии в подошве пласта; z - расстояние от подошвы пласта до точки наблюдения в зумпфе.
Точка выхода на геотерму или распространение фронта теплового возмущения от работающего пласта в зумпфе путем теплопроводности определяется формулой
(2.16)
Для среднего значения а = 2*10"3 м2/час и времен t<10 часов даже с учетом стальной колонны зона влияния пласта в зумпфе не распространяется путем теплопроводности далее 1 м от подошвы. Чрезмерная затянутость температурной аномалии в зумпф и немонотонность распределения температуры могут быть связаны с заколонным перетоком.
В компрессорных скважинах после их промывки пресной водой наблюдается еще один вид конвекции замещения. При поступлении из пласта минерализованной воды (или частиц песка) наблюдается замещение пресной воды в зумпфе скважины на минерализованную. Это приводит к затягиванию аномалий, обусловленных теплоотдачей пласта.
3.Основные признаки термометрии для решения задач в скважинах
В нагнетательных скважинах
Определение нарушения герметичности колонны в зумпфе. Состояние в зумпфе исправное, если термограммы при закачке и изливе в зумпфе на расстоянии 1.5-2 м вниз от подошвы нижнего перфорированного пласта и до забоя повторяют друг друга по форме. Состояние в зумпфе нарушено, если термограммы при закачке и изливе в зумпфе в интервале перетока расходятся, причем градиент температуры при изливе ниже, чем при закачке. Термограммы выше и ниже нарушения колонны монотонны. (Датчик термометра должен быть чист.)
Определение нарушения герметичности свободной колонны выше интервалов перфорации. Критериями являются: скачкообразное изменение градиента температуры на замере при изливе; изменение градиента температуры на замере при закачке (если в нижерасположенной части скважины приемистость <30-40 м3/сут); пикообразная аномалия охлаждения (разогрева) на временных замерах в интервале времени 0 - 40ч-45 мин после прекращения закачки.
Определение нарушения герметичности НКТ и колонны, перекрытой НКТ.
Нарушение НКТ: отмечаются аномалии на замерах в интервале времени 0-2 мин после:
1) перевода скважины с закачки на излив через НКТ с дебитом не более 10-12 м3/сут;
2) прекращения закачки;
3) перевода с максимальной закачки на ограниченную закачку с величиной приемистости не более 10-12 м3/сут.
Нарушение колонны: отмечаются температурные аномалии на замерах в интервале времени 5-12 мин после:
1) перевода скважины с закачки на излив через НКТ с дебитом не более 10-12 м3/сут;
2) прекращения закачки;
3) перевода с максимальной закачки на ограниченную с величиной приемистости не более 10-12 м3/сут.
Определение движения жидкости по пластам: наблюдаются аномалии на температурных замерах в интервале времени от 18 мин и более после:
1) перевода скважины с закачки на излив через НКТ с дебитом не более 10-12 м3/сут;
2) прекращения закачки;
3) перевода с максимальной закачки на ограниченную с величиной приемистости не более 10-12 м3/сут.
(На этих замерах не отмечаются аномалии в интервале времени 15-18 мин.)
Определение принимающих интервалов. Признаками принимающих интервалов являются изменение градиента температуры в интервале перфорированных пластов на замерах при закачке и охлаждение в интервале пласта на замерах в остановленной скважине.
Определение заколонного перетока вверх от интервала перфорации. На переток указывает аномалия охлаждения в неперфорированных пластах в интервале перетока на замерах термометром через 1.5-2 часа и более после прекращения закачки, изменение градиента на термограмме при закачке или аномалия калориметрического смешивания, приуроченные к кровле верхнего перфорированного пласта.
