Составление технического проекта внутрихозяйственного землеустройства
Для проведения различных землеустроительных мероприятий необходимо иметь информацию о размерах, форме, местоположении земельных участков и различных элементов организации территории. С этой целью составляют план землепользования ТОО (АО), предназначенный для определения площадей участков различными способами и разработка технического проекта внутрихозяйственного землеустройства.
Рассмотрение этих вопросов при изучении дисциплины “Геодезические работы при землеустройстве” предусматривает составление студентом курсового проекта “Составление технического проекта внутрихозяйственного землеустройства”.
Для выполнения курсового проекта студенту выдается задание по варианту.
В соответствии с вариантом, на основе плана землепользования масштаба 1:10000, геодезических данных по границам землепользования, ведомостей вычисления площадей и в соответствии с эскизным проектом составляют технический проект внутрихозяйственного землеустройства ТОО "МИР" и подготавливают необходимые геодезические данные для перенесения проекта в натуру.
По эскизному проекту предусмотрено запроектировать:
- на пахотных землях северной части землепользования — четыре поля полевого севооборота, скотопрогон, полевую дорогу и спрямить ломаную границу выгоном и пашней;
- на пахотных землях южной части землепользования — пятипольный овощной севооборот, сад, три поля полевого севооборота и полевые дороги.
Все полевые дороги имеют проектную ширину 5 м.
При техническом проектировании следует уточнить положение границ и площадей проектируемых участков, определить необходимые геодезические данные для правильного расположения проектируемых участков в натуре.
В соответствии с требуемой точностью проектируемых площадей и характером границ участков запроектировать:
- поля овощного севооборота- аналитическим способом;
- поля полевого севооборота в южной части землепользования — графическим способом;
- поля полевого севооборота в северной части землепользования — механическим способом.
Проектные решения разрабатываются студентом самостоятельно с использованием настоящих методических указаний.
В соответствие с учебным планом студенты предъявляют к защите пояснительную записку и практическое решения, оформление которых должно производиться согласно требованиям ГОСТ и в соответствии с действующими условными знаками, применяемыми в землеустройстве.
1 Составление и оформление топографической основы проектного плана
На листе чертежной бумаги с помощью линейки Дробышева построить сетку квадратов со сторонами 10 см. Точность построения сетки проверить измерителем по диагонали и сторонам квадратов (допустимое расхождение 0,2 мм).
По координатам (приложение А) нанести вершины границ землепользования.
Пользуясь абрисами теодолитной съемки (приложение Б), нанести контуры ситуации и горизонтали в соответствии с рисунком 1.
Вычертить:
- координатную сетку - синей тушью (толщина линии 0,1 мм) и подписать,
- границы землепользования - черной тушью (толщиной 0,2 мм);
- межевые знаки - кружками (диаметр не более 1,2 мм),
- условные знаки сельскохозяйственных угодий (разреженно в 2 раза).
Около середины каждой линии границы с внешней стороны указать румб и меру линии (в виде дроби).
2 Способы определения площадей
2.1 Определение площадей участков аналитическим способом
2.1.1 По координатам вершин вычислить площади:
- южной части землепользования, приусадебных земель;
- северной части землепользования; производственного центра (таблица 1).
Рабочие формулы:
Таблица 1 - Ведомость вычисления площадей
|
Вершины |
Координаты |
Разности координат |
Произведения | |||||||||||
|
X |
Y |
Xi-1 - Xi+1 |
Yi+1 – Yi-1 |
Yi (Xi-1 - Xi+1) |
Xi (Yi+1 – Yi-1) | |||||||||
|
S = 0.0 |
S = 0.0 |
2Р = |
2Р = | |||||||||||
1:10000
Рисунок – 1
2.1.2 В соответствии с рисунком 2, по результатам измерений в натуре (приложение Б), вычислить площадь сенокоса с прудом и площадь проектируемой дороги в овощном севообороте.
|
|
Рисунок 2
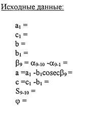
Площадь сенокоса с прудом вычислить по формуле
Площадь проектируемой дороги вычислить по формуле
2.1.3 В соответствии с рисунком 3, по результатам измерений в натуре (приложение Б), вычислить площадь леса
|
|
Рисунок 3
Площадь леса вычислить по формуле
2.2 Определение площади участков графическим способом
Графический способ определения площадей состоит в том, что участки, изображённые на плане, разбивают на треугольники, в которых высоты по величине близки к основаниям. Зная высоту и основание, вычисляют площадь.
