Подсчёт объёмов земляных работРефераты >> Ботаника и сельское хоз-во >> Подсчёт объёмов земляных работ
Для определения объёмов траншей продольный профиль траншеи делят на участки с одинаковыми уклонами, подсчитывают объёмы грунта для каждого из них и затем суммируют.
Объём траншеи с вертикальными стенками
Vтр = Bтр(H1 + H2)L/2
или
Vтр = (F1 + F2)L/2,
где Bтр — ширина траншеи; H1 и H2 — глубина её в двух крайних поперечных сечениях; F1 и F2 — площади этих сечений; L — расстояние между сечениями.
Объём траншеи с откосами (рис. 1, д) можно определить по вышеприведённой формуле, при этом площади поперечных сечений
F1,2 = (Bтр + mH1,2)H1,2.
Более точно объём траншеи с откосами можно определить по формуле Винклера:
Для определения объёма траншей, предназначенных для совмещённой прокладки сетей (см. рис. 1, е), площадь их поперечного сечения вычисляют как сумму площадей траншеи полного сечения для трубопровода глубокого заложения и дополнительной траншеи для трубопроводов меньшего заложения. с основанием Bтр1, равным
Bтр1 = Dн + 2×0,2 м
где Dн — наружный диаметр трубопровода
Для удобства подсчёта объёма земляных работ трассу трубопровода разбивают через определённые расстояния (через 100-200 м) на участки (пикеты) и вначале определяют объёмы работ на участках, а затем, суммируя их, определяют объём земляных работ. При этом целесообразно использовать так называемый табличный метод подсчёта земляных работ. С этой целью, определив ширину траншеи по дну (Bтр), разбив трассу на пикеты через l м и определив глубины траншей (H) на каждом пикете (путём построения продольного профиля трубопровода) и определив коэффициенты крутизны откосов (поперечных сечений на каждом из них (m), зная вид залегающих грунтов и глубины выемки, данные записывают в таблицу (табл. № 2).
Таблица № 2. Таблица подсчета объемов земляных работ при разработке траншеи с наклонными откосами
|
Пикеты |
Bтр1, м |
H, м |
m |
F, м2 |
(F1+F2)/2 |
l, м |
Vтр, м3 |
|
1 |
2 |
3 |
4 |
5 |
6 |
7 |
8 |
|
0 |
1 |
2,0 |
1 |
6 |
7,7 |
100 |
770 |
|
1 |
1 |
2,6 |
1 |
9,4 |
14,6 |
100 |
1460 |
|
2 |
1 |
3,6 |
1,25 |
19,8 |
14,6 |
100 |
1460 |
|
3 |
1 |
2,6 |
1 |
9,4 |
7,7 |
100 |
770 |
|
4 |
1 |
2,0 |
1 |
6 |
— |
Сумма = 400 |
Сумма = 4360 |
Объём земляных работ на каждом участке в графе 8 определяют путём умножения данных графы 6 на данные графы 7 и затем их суммируют.
При отрывке траншей экскаваторами у дна их также оставляют необходимый недобор грунта, который в основном зачищают вручную. Кроме этого на дне траншей устраивают приямки, облегчающие работы по заделке стыков труб. Приямки также чаще всего отрывают вручную.
Объём земляных работ по зачистке дна траншеи определяют по формуле:
Vз.т. = BтрLhн,
где Bтр — ширина траншеи по дну, м; L — общая длина траншеи, м; hн — толщина недобора (см. табл. 1).
Объём работ по устройству приямков на дне траншеи:
Vп = abcL/l,
где a, b, c — размеры, м (принимается по СНиПу); L — протяжённость трубопровода, м; l — длина трубы или трубной секции, м.
Несущая способность труб в значительной мере зависит от характера опирания их на основание. Так, например, трубы, уложенные в грунтовое ложе с углом охвата 120 град., выдерживают нагрузку на 30-40% большую, чем трубы, уложенные на плоское основание. Поэтому на дне траншеи перед укладкой труб целесообразно вручную или механизированным способом устраивать, т.е. нарезать специальное овальное углубление (ложе) с углом охвата труб до 120 градусов.
Объём земляных работ по устройству ложа или выкружки на дне траншеи для укладки труб может быть определён по формуле:
Vл = FлL,
где Fл — площадь поперечного сечения ложа (выкружки), м2; L — длина траншеи, м.
Площадь сечения ложа (выкружки) можно определить по геометрической формуле площади сегмента, каковым фактически и является грунтовое ложе. Исходя из этого,
где r — радиус трубопровода, т.е. D/2, м; φ (Фи) — угол охвата трубы, град.
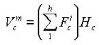
Объём грунта по срезке растительного слоя на трассе трубопровода определяется по формуле:
Vс = Vст + Vср,
где Vст — объём работ по срезке растительного слоя в пределах траншеи, м3; Vср — то же, в пределах рабочей зоны, м3.
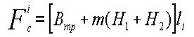
где Fci — площадь срезки растительного слоя в пределах контура траншеи между пикетами, м2; Hс — толщина растительного слоя, м (принимается равной 0,15-0,2 м).
где Bтр, m — то же, что и в предыдущих формулах; H1, H2 — глубины траншеи на смежных пикетах, м; li — расстояние между пикетами, м.
Vср = BHсL,
где B — ширина рабочей зоны, м (принимается равной 15-25 м); Hс — толщина растительного слоя, м; L — общая длина трубопровода, м.
Объём грунта, разрабатываемого экскаватором, определяется по формуле:
Vэ = Vтр - (Vст + Vз)
Объём грунта, необходимый для частичной засыпки труб и обратной засыпки траншей (Vо) с учётом коэффициента остаточного разрыхления (Кор), определяется по формуле:
