Подсчёт объёмов земляных работРефераты >> Ботаника и сельское хоз-во >> Подсчёт объёмов земляных работ
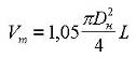
где Кор определяется по ЕНиР Сб. Е2, прил. 2; Vт — объём грунта, вытесняемый трубопроводом и вывозимый за пределы площадки,
где Dн, L — наружный диаметр трубы и общая длина трубопровода, м; 1,05 — коэффициент увеличения объёма вытесняемого грунта за счёт раструбов (учитывается при прокладке раструбных труб).
Объём насыпей (см. рис. 1, д) можно вычислять по тем же формулам, что и выемок, учитывая форму насыпи (призматоид, усечённый конус и т.п.). Потребное количество грунта для возведения насыпи в плотном теле определяют с учётом коэффициента остаточного разрыхления. При больших уклонах, значительной неровности рельефа и особенно при устройстве насыпей на косогорах объёмы земляных работ подсчитывают, разбивая насыпи на участки более простой геометрической формы.
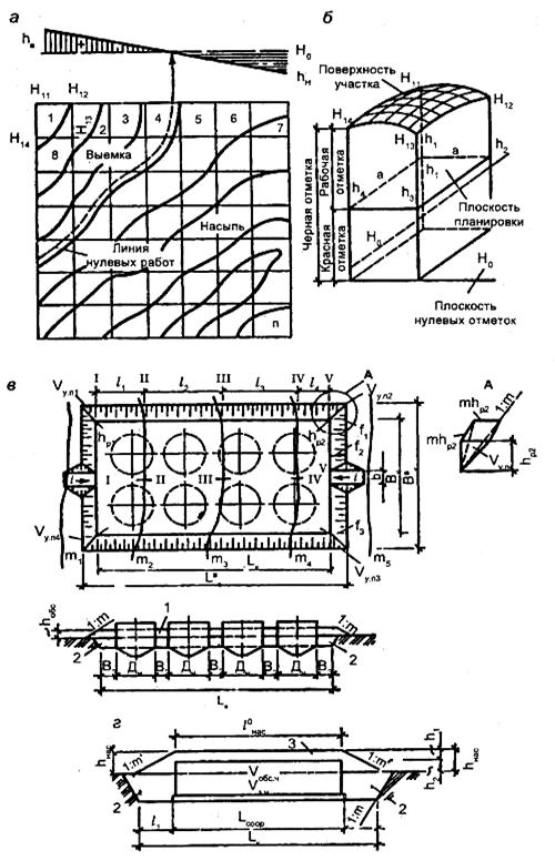
Для подсчёта объёмов работ при вертикальной планировке применяют методы поперечных сечений, четырёхгранных и трёхгранных призм. Площадку, подлежащую планировке, на плане с горизонталями с горизонталями разбивают на элементарные участки, объёмы работ по которым суммируются. Метод поперечных сечений (поперечников) используют при ровном рельефе и для ориентировочных подсчётов. В характерных сечениях рельефа вычерчивают поперечные профили (на расстоянии друг от друга не более 100 м) и затем определяют площади каждого из них, а также объёмы грунта между ними.
Метод четырёхгранных призм предусматривает разбивку площадки на прямоугольники или квадраты (рис. 2, а, б) со сторонами а (20-100 м).
Рис. 2. Схемы к подсчёту объёмов вертикальной планировки, засыпки и обсыпки сооружений: а — разбивка площадки на квадраты; б — положение плоскостей при планировке; в — план котлована и его продольное сечение для определения объёма засыпки и обсыпки после возведения сооружений без покрытий; г — то же, для сооружений с покрытиями.
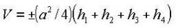
Объёмы выемок или насыпей, заключённые в отдельных прямоугольных призмах,
где а — сторона квадрата; h1, h2, h3, h4 — отметки в углах квадратов.
Отметки со знаком «
» указывают на необходимость устройства насыпи, а со знаком «+» — выемки. Общий объём насыпи (выемки) определяют как сумму частных объёмов призм и их частей, лежащих в пределах участка насыпи (выемки).
Метод трёхгранных призм применяют при неровном рельефе (с замкнутыми горизонталями). Объём работ подсчитывают путём разбивки прямоугольников или квадратов диагоналями на треугольники. При этом методе достигается наибольшая точность подсчётов.
После возведения в котловане сооружения пустоты с боков его (пазухи), включая въездные и выездные траншеи, подлежат засыпке грунтом. Объём засыпки пазух котлована Vзас.к определяют разностью общего объёма котлована Vобщ и объёмом заглублённой части сооружения Vзч т.е.
Vзас.к = Vобщ - Vз.ч.
Если сооружения выступает над поверхностью земли на 0,8 .1 м, вокруг них делают обсыпку грунтом. Объём обсыпки Vобс вычисляют как объём усечённой пирамиды Vу.п за вычетом объёма обсыпаемой части сооружения Vобс.ч в пределах высоты hобс (рис. 2, в), т.е.
Vобс = Vу.п. - Vобс.ч.
Над сооружениями с перекрытиями (резервуарами, горизонтальными отстойниками и др.) сверху устраиваются насыпи. Объём насыпи над сооружениями подсчитывают как объём усечённой пирамиды насыпи за вычетом объёма части сооружения, попадающей в тело насыпи (рис. 2, г).
Общий объём грунта, укладываемого в резерв на барме котлована, должен включать объём грунта для обратной засыпки пазух, обсыпки сооружений и устройства насыпи над ними. Излишек грунта подлежит вывозке.
1.2 Распределение грунта на основе баланса земляных масс
Сравнение объёмов земляных работ по устройству выемок и насыпей на строительной площадке представляет собой баланс земляных масс, который может быть активным, если объём выемок превышает объем насыпей, и пассивным, если объем выемок меньше объема насыпей. В первом случае излишний грунт вывозят со строительной площадки в отвалы, во втором - недостающий для устройства насыпей грунт завозят со стороны.
Поскольку вывозка грунта за пределы площадки нежелательна, так как она повышает сроки и стоимость строительства, следует стремиться к тому, чтобы весь грунт из выемок укладывался без остатка в насыпи, т.е. чтобы на площадке соблюдался нулевой баланс. Для получения такого равенства нужно определить оптимальную отметку планировки площадки, при которой будет достигнут нулевой баланс земляных масс.
Оптимальная отметка планировки, по обе стороны которой (сверху и снизу) будут находиться равные объёмы выемки и насыпи при подсчете объемов по квадратам (рис. 2, а, б), определяется по формуле:
где H1, H2, H3, H4 — отметки естественной поверхности площадки в вершинах, общих соответственно для одного, двух, трех и четырех квадратов, м; n — количество квадратов в пределах площадки.
При планировке площадки комплекса сооружений оптимальную отметку планировки необходимо скорректировать с учетом дополнительных объёмов грунта, необходимого для устройства постоянных сооружений, и объёмов грунта, вытесняемого подземными частями возводимых сооружений и коммуникаций. Поправка к этой отметке может быть определена по формуле:
где Vi — дополнительный объём грунта (принимается с плюсом, когда имеется излишек, и с минусом — при недостатке грунта), м3; F — площадь планируемого участка, м2.
После окончания подсчёта все объемы земляных работ сводят в специальную ведомость, называемую сводным балансом земляных масс и состоящую из двух частей: левой — приход грунта (П) и правой — расход грунта (Р). При П>Р баланс положительный, т.е. активный, при П<Р баланс отрицательный, т.е. пассивный, и при П=Р баланс нулевой. Определив баланс земляных масс, составляют схемы потоков перемещения грунта из выемок в насыпи или в резервы.
Объемы насыпей и выемок значительной протяженности (полотно дорог, дамбы, плотины и др.) подсчитываются с использованием продольного и поперечного профилей сооружения. В характерных точках продольного профиля, местах изменения уклона местности или красной (проектной) линии сооружение расчленяется вертикальными плоскостями на участия, в пределах которых получаются геометрические тела — призматоиды. Высота призматоида равна длине участка между сечениями, а основаниями служат профили сооружения в местах сечений. Этот способ иногда называют также способом поперечных профилей.
