Газоанализаторы
ГАЗОАНАЛИЗАТОРЫ, приборы, измеряющие содержание (концентрацию) одного или нескольких компонентов в газовых смесях. Каждый газоанализатор предназначен для измерения концентрации только определенных компонентов на фоне конкретной газовой смеси в нормированных условиях. Наряду с использованием отдельных газоанализаторов создаются системы газового контроля, объединяющие десятки таких приборов. В большинстве случаев работа газоанализаторов невозможна без ряда вспомогательных устройств, обеспечивающих создание необходимых титры и давления, очистку газовой смеси от пыли и смол, а в ряде случаев и от некоторых мешающих измерениям компонентов и агрессивных веществ. Газоанализаторов классифицируют по принципу действия на пневматические, магнитные, электрохимические, полупроводниковые и др. Ниже излагаются физические основы и области применения наиболее распространенных газоанализаторов.
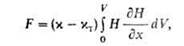
Термокондуктометрические газоанализаторы. Их действие основано на зависимости теплопроводности газовой смеси от ее состава. Для большинства практически важных случаев справедливо уравнение:
Где теплопроводность смеси, - теплопроводность i - того компонента, Ci - eгo концентрация, n-число компонентов.
Термокондуктометрические газоанализаторы не обладают высокой избирательностью и используются, если контролируемый компонент по теплопроводности существенно отличается от остальных, например для определения концентраций Н2, Не, Аг, СО2 в газовых смесях, содержащих N2, О2 и др. Диапазон измерения - от единиц до десятков процентов по объему.
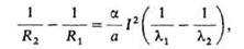
Изменение состава газовой смеси приводит к изменению ее теплопроводности и, как следствие, титры и электрическое сопротивления нагреваемого током металлического или полупроводникового терморезистора, размещенного в камере, через которую пропускается смесь. При этом:
где a-конструктивный параметр камеры, R1 и R2 - сопротивление терморезистора в случае пропускания через него тока I при теплопроводности газовой среды соответствует и, температурный коэффициент электрического сопротивления терморезистора.
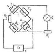
Рис.1. Термокондуктометрический газоанализатор: 1 - источник стабилизированного напряжения; 2-вторичный прибор; R1 и R3 - рабочие терморезисторы; R2 и R4 - сравнительные терморезисторы; R0 и потенциометры; вход и выход анализируемой газовой смеси показаны стрелками.
На рис.1 приведена схема, применяемая во многих Термокондуктометрических газоанализаторах. Чувствительные элементы R1 и R3 (рабочие терморезисторы) омываются анализируемой смесью; сравнительные терморезисторы R2 и R4 помещены в герметичные ячейки, заполненные сравнительным газом точно известного состава. Потенциометры R0 и предназначены для установки нулевых показаний и регулировки диапазона измерения. Мера концентрации определяемого компонента - электрический ток, проходящий через, который измеряется вторичным (т.е. показывающим или регистрирующим) прибором. Термокондуктометрические газоанализаторы широко применяют для контроля процессов в производстве H2SO4, NH3, HNO3, в металлургии и др.
Термохимические газоанализаторы. В этих приборах измеряют тепловой эффект химической реакции, в которой участвует определяемый компонент. В большинстве случаев используется окисление компонента кислородом воздуха; катализаторы - марганцевомедный (гопкалит) или мелкодисперсная Pt, нанесенная на поверхность пористого носителя. Изменение титры при окислении измеряют с помощью металлического или полупроводникового терморезистора. В ряде случаев поверхность платинового терморезистора используют как катализатор. Величина связана с числом молей М окислившегося компонента и тепловым эффектом соотношением:, где kо коэффициент, учитывающий потери тепла, зависящие от конструкции прибора.
Схема (рис.2) включает измерительный мост с постоянными резисторами (R1 и R4) и двумя терморезисторами, один из которых (R2) находится в атмосфере сравнительного газа, а второй (R3) омывается потоком анализируемого газа. Напряжение Uвых в диагонали моста пропорционально концентрации определяемого компонента. Для устойчивой работы газоанализаторы исключают влияние титры среды (термостатированием или термокомпенсацией), стабилизируют напряжение, поддерживают постоянным расход газа, очищают его от примесей, отравляющих катализатор (С12, НС1, H2S, SO2 и др.).
Рис.2. Термохимический газоанализатор: 1 - источник стабилизированного напряжения; 2-вторичный прибор; R1 и R4 - постоянные резисторы; R2 и R3-соотв, сравнительный и рабочий терморезисторы.
Большинство термохимических газоанализаторов используют в качестве газосигнализаторов горючих газов и паров (Н2, углеводороды и др.) в воздухе при содержании 20% от их нижних КПВ, а также при электролизе воды для определения примесей водорода в кислороде (диапазон измерения 0,02-2%) и кислорода в водороде (0,01-1%).
Магнитные газоанализаторы. Применяют для определения О2. Их действие основано на зависимости магнитной восприимчивости газовой смеси от концентрации О2, объемная магнитная восприимчивость которого на два порядка больше, чем у большинства остальных газов. Такие газоанализаторы позволяют избирательно определять О2 в сложных газовых смесях. Диапазон измеряемых концентраций 10-2 - 100%. Наиболее распространены магнитомеханические и термомагнитные газоанализаторы.
В магнитомеханических газоанализаторах (рис.3) измеряют силы, действующие в неоднородном магнитном поле на помещенное в анализируемую смесь тело (обычно ротор). Сила F, выталкивающая тело из магнитного поля, определяется выражением:
Где объемная магнитная восприимчивость соответствует анализируемой смеси и тела, помещенного в газ, V-объем тела, H-напряженность магнитного поля. Обычно мерой концентрации компонента служит вращающий момент, находимый по углу поворота ротора. Показания магнитомеханического газоанализатора определяются магнитными свойствами анализируемой газовой смеси и зависят от титры и давления, поскольку последние влияют на объемную магнитною восприимчивость газа.
Более точны газоанализаторы, выполненные по компенсационной схеме. В них момент вращения ротора, функционально связанный с концентрацией О2 в анализируемой смеси, уравновешивается известным моментом, для создания которого используются магнитоэлектрической или электростатической системы. Роторные газоанализаторы ненадежны в промышленных условиях, их сложно юстировать.
Рис.3. Магнитомеханический газоанализатор: 1-ротор; 2-полюсы магнита; 3-растяжка; 4-зеркальце; 5-осветитель; 6-шкала вторичного прибора.
