Красители на основе 2-амино-5-меркапто-1,3,4-тиадиазола
Введение
Красителями, в широком смысле этого слова, называют органические соединения, обладающие способностью поглощать и преобразовывать световую энергию в видимой и ближних ультрафиолетовой и инфракрасной областях спектра. Применение веществ, способных придавать тот или иной цвет предметам, в том числе волокнам, тканям, поверхности тела, известно с незапамятных времен. Для этого использовались цветные глины, минеральные пигменты, вытяжки из растений и животных.
Только в XVIII веке стали предприниматься попытки создания дешевых синтетических красителей. К этому химиков подтолкнуло бурное развитие текстильной промышленности и переход к машинному производству. Первый синтетический краситель был получен в 1855 г. профессором Я. Натансоном, соединение красного цвета. Позже в 1858 г., во Франции, Верген получил этот же краситель другим способом и назвал фуксином. В том же году Грисс открыл реакцию диазотирования, положившую начало синтезу азокрасителей. [1]
В настоящее время известно большое количество красителей, разделяющиеся по химическому строению: нитрокрасители, нитрозокрасители, азокрасители, арилметановые, хинониминовые, сернистые, индигоидные, антрахиноновые, полициклические, фталоцианиновые, полиметиновые, азометиновые красители.
Несмотря на многообразие органических красителей известны лишь ограниченные сведения о синтезе красителей на основе 1,3,4-тиадиазолов. Так как среди тиадиазолов обнаружены вещества с высокой биологической активностью, синтез красителей на основе 2-амино-5-меркапто – 1,3,4-тиадиазола является актуальной проблемой. Бактерицидные тиадиазол-содержащие красители могут найти применение для покраски и обработки днищ судов и подводных сооружений.
Целью данной курсовой работы является изучение органических красителей, полученных на основе 2-амино-5-меркапто – 1,3,4-тиадиазола.
краситель дисперсный суспензия химический
1. Дисперсные красители
1.1 Общая характеристика
Дисперсные красители – специальные неионные красители для гидрофобных волокон, используемые при крашении в виде высокодисперсных водных суспензий. Не содержат групп, придающих растворимость в воде, вследствие чего она очень низка (при комнатной температуре в 1 л воды растворяется от долей до нескольких мг красителя). Молекулы дисперсных красителей имеют небольшие размеры. Применяются дисперсные красители при крашении полиэфирных, полиамидных и ацетатных волокон, реже – полиакрилонитрильных (в светлые тона). Дисперсные красители – единственная группа красителей, пригодных для окрашивания полиэфирных и ацетатных волокон. Обеспечивают получение окрасок полной цветовой гаммы. В процессе крашения молекулы дисперсных красителей, перешедшие в раствор, сорбируются волокном и диффундируют вглубь него с образованием твердого раствора в полимере. Краситель удерживается в полимере силами Ван-дер-Ваальса, в отдельных случаях – водородными связями. Выпускают дисперсные красители в виде тонкодисперсных порошков, гранул или в жидкой форме (в том числе паст) с размером основной массы частиц не более 1–2 мкм; в их состав входят также вспомогательные вещества, способствующие сохранению дисперсности при применении и хранении.
1.2 Основные группы дисперсных красителей
По химическомустроению дисперсные красители – главным образом, азокрасители и антрахиноновые красители, реже – стириловые, хинофталоновые красители, нитродифениламины, ароиленимидазолы, антрапиридоны. Дисперсные азокрасители обеспечивают гамму цветов от желтого до темно-синего. В основном представлены моноазокрасителями – производными 4-аминоазобензола, дающими окраски оранжевых, красных, фиолетовых, темно-синих цветов, например, алый Ж (I) и бордо 2С (II). Получение широкой цветовой гаммы достигается изменением характера и положения заместителей в молекуле. Большинство моноазокрасителей содержит (в остатке диазосоставляющей) в параположении к азогруппе NO2 -гpyппy, углубляющую цвет. Углублению цвета способствует также введение электроноакцепторных заместителей в положения 2 или 2,6 к азогруппе или электронодонорных заместителей (алкилов, алкокси- и ациламиногрупп) в остаток азосоставляющей. Электроноакцепторные заместители (CN, ОСОСН3) в алкиламиногруппах азосоставляющей, понижая основность атома N аминогруппы, приводят к повышению цвета. Гидроксиазокрасители (ОН-группа в орто- или параположении к азогруппе) применяют ограниченно для получения цветов от желтого до красного. Более яркие желтые цвета обеспечивают стириловые, хинофталоновые красители, ароиленимидазолы. Практическое значение имеет и небольшое число дисазокрасителей, преимущественно желтого и оранжевого цветов, например, желтый прочный 4К (III). К дисперсным красителям относятся моноазокрасители, содержащие первичные аминогруппы, способные диазотироваться на волокне и сочетаться с азосоставляющими (диазотирующиеся дисперсные красители), например, диазочерный С (IV). Однако, ввиду сложности крашения, эти красители используют редко, главным образом, для получения на ацетатных тканях прочных черных окрасок.
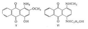
Антрахиноновые красители обеспечивают гамму красных, фиолетовых, синих и бирюзовых цветов, например, розовый Ж (V) и синий К – смесь соединений с основным компонентом формулы VI.
Они представлены 1-амино-4-гидроксиантрахиноном и его замещенными, которые содержат в положении 2, например, атом Вr, группы ОСН3 или ОС6Н5 и дают розовые и красные окраски; 1,4-диаминоантрахиноном и его производными, содержащими N-алкильные (или арильные), N, N-диалкильные, 5-нитро-, 2,3-дихлор- или 2-алкоксигруппы и обеспечивающими гамму цветов от красно-фиолетовых до сине-зеленых; синими красителями на основе 1,4,5,8-тетразамещенных антрахинона, содержащих группы ОН, NO2, NH2 или NHR (R – алкил, арил). Так как индивидуальные зеленые, коричневые, серые и черные дисперсные красители отсутствуют, для получения окрасок указанных цветов готовят смесовые композиции. Наиболее практическое значение имеют дисперсные красители для полиэфирного волокна. Поскольку в процессах крашения и отделки это волокно подвергается высокотемпературным обработкам, к окраскам дисперсных красителей предъявляется требование высокой устойчивости не только к свету, но и к сублимации. Светостойкость окрасок повышается при введении в молекулу дисперсного красителя электроноакцепторных заместителей, снижающих основность атома N в аминогруппе, а устойчивость к сублимации – при увеличении размера и полярности молекулы. В случае моноазокрасителей повышение устойчивости окрасок достигается введением в остаток диазосоставляющей в ортоположение к азогруппе Cl, Br, CN, в пара-положение – NO2, в параположение остатка азосоставляющей – N, N-диацетоксиэтиламино-, N-этил-N-цианоэтиламино-, N-цианоэтил-N-ацетоксиэтиламиногрупп; в ряду антрахиноновых красителей вводят, например, атомы галогена. Светостойкость окрасок зависит также от химической природы и физических свойств волокна. Окраски многих дисперсных красителей на полиамидном волокне менее светостойки, чем на ацетатном и полиэфирном. В особые группы выделяют металлсодержащие и активные дисперсные красители, предназначенные для прочного окрашивания полиамидных волокон. Металлсодержащие дисперсные красители – металлкомплeксные соединения, содержащие один атом Сr или Со на две молекулы моноазокрасителя, например, дисперсный красный СМП (VII, М – металлсодержащий, П – для полиамидных волокон).
