Красители на основе 2-амино-5-меркапто-1,3,4-тиадиазола
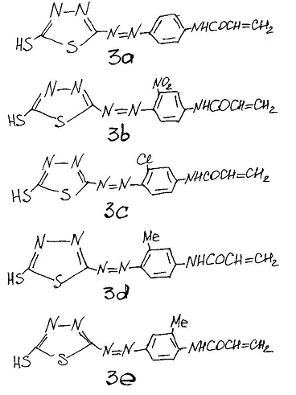
Шесть новых моноазо красителей были получены диазотированием 2-амино-5-меркапто – 1,3,4-тиадиазола 1, и в последующем азосочетанием с различными N-фенилакриламидами 2а-е. Диазотирование проводили в концентрированных кислотах, так как гидролиз соли диазония происходит в разбавленных кислотах. Использовали концентрированную Н2SO4 в смеси с ледяной уксусной кислотой, а также нитрозилсерную кислоту (NOHSO4). Аминосоединения 1 были успешно диазотированы при 0–5 °С нитрозилсерной кислотой в уксусной кислоте. Конец точки диазотирования определяли на наличие избытка азотной кислоты по йодкрахмальной бумаге. Раствор соли диазония сразу же использовали в реакции азосочетания с N-арилациламидами, так как он при стоянии разлагается даже на холоду. В результате получали хорошие красители 3а-е с выходом 68–85%:
Чистота красителей была оценена методом ТСХ с использованием AcOEt-бензола (1:4) в качестве элюента на пластинах «Silyfol». Данные Rf приведены в таблице 1. Видимые адсорбционные максимумы λmax красителей 3a-е были зарегистрированы в концентрированной H2SO4 и диметилформамиде (ДМФ).
Таблица 1. Характеристические данные красителей (3a-e)
|
краситель |
Т. плавл. (DMF), °C |
(λmax, нм) |
Log ε |
E, % |
F, % |
Rf (AcOEt-PhH) |
Выход, % | |
|
DMF |
H2SO4 конц | |||||||
|
3a 3b 3c 3d 3e |
174–175 209–210 232–233 249–250 240–241 |
445 430 450 435 440 |
410 390 390 406 410 |
4.65 4.42 4.44 4.58 4.65 |
80 76 80 76 74 |
85 83 89 86 85 |
0.83 0.91 0.90 0.81 0.68 |
80 85 75 79 68 |
Таблица 2. Элементный анализ красителей (3а-е)
|
краситель |
Молекулярная формула |
С |
Н |
N | |||
|
Найд, % |
Вычисл, % |
Найд, % |
Вычисл, % |
Найд, % |
Вычисл, % | ||
|
3a 3b 3c 3d 3e |
C11H9N5OS2 C11H8N6O3S2 C11H8N5OS2Cl C12H11N5OS2 C12H11N5OS2 |
45.10 39.00 40.15 47.10 47.06 |
45.36 39.28 40.55 47.21 47.21 |
2.92 2.18 2.30 3.41 2.92 |
3.09 2.38 2.45 3.60 3.60 |
23.92 24.86 21.36 22.79 23.92 |
24.05 25.00 21.50 22.95 22.95 |
Значения логарифмов молярного коэффициента экстинкции красителей 3a-е были в диапазоне 4,42–4,65 в соответствии с их высокой интенсивностью поглощения.
ИК-спектры красителей показывают характерные полосы около 2960–3010, 1580–1610 и 1500 см-1 в связи с ароматическими валентными колебаниями фенильного кольца, полосы 600–660 и 675–700 см-1 (CSH растяжения), 1070 (CN растяжение), 1200 (NHCOCH = СН2 группа) и 1435 см-1 (SC растяжение). Полосы 800–870, 960–990, 870–900 см-1 обусловлены изгибом CH группы вне плоскости. Азо группа (N = N) указывает валентные колебания на 1540–1560 см-1. Две сильные полосы, наблюдаемые в 1650–1690 см-1, относятся к валентным колебаниям C=O группы. Валентные колебания амидной группировки NH наблюдалась около 3275–3350 см-1. Полоса 1320–1350 см-1 связана с симметричным растяжением NO2 группы. Полосы 620–685 и 1385–1450 см-1 связаны с C-C1 и C-СН3 валентными колебаниями соответственно. Все краски были применены в 2% глубине на полиэфирной ткани, как дисперсные красители. Окрашивающие свойства красителей приведены в таблице 3.
Таблица 3. Окрашивание и свойства прочности красителей (3а-е) на полиэфирных тканях
|
краситель |
Оттенок на полиэфирной ткани |
Свойства прочности | ||||||
|
свет |
мытье |
Прочность к поту |
возгонка |
Протирка прочности | ||||
|
кислота |
щелочь |
Сухая |
влажная | |||||
|
3a 3b 3c 3d 3e |
Светло-оранжевый Коричневый Красновато-розовый Яркий красно-розовый Красно-коричневый |
4–5 3–4 4–3 4–3 3–4 |
5 5 5 5 4–5 |
5 5 4–5 4–5 5–4 |
5 5 5 5 5 |
5 5 4–5 5 5 |
5–4 5 5 5 5 |
5 5–4 5 5 5 |
Эти красители дали узкий диапазон цветов, варьирующийся от оранжевого до розового с отличной яркостью и глубиной на тканях. Окрашенные ткани имеет хорошие (3–4) и превосходные (5) оттенки.
Полученные результаты свидетельствуют о том, что крашение полиэфирных тканей с дисперсными красителями тиадиазольного ряда могут оказаться перспективными для практического использования, в основном за счет доступности веществ, использованных в синтезе красителей.
