Красители на основе 2-амино-5-меркапто-1,3,4-тиадиазола
Они превосходят обычные дисперсные красители по устойчивости окрасок к свету и мокрым обработкам, уступают по яркости и ровняющей способности. Используются преимущественно для получения темных тонов. Дисперсные активные красители сочетают хорошие ровняющие свойства дисперсных красителей с высокой устойчивостью окрасок к мокрым обработкам. [2]
1.3 Технология крашения
Процесс проводят в присутствии 1–2 г/л анионоактивного ПАВ, обычно диспергатора НФ [метилен-бис – (нафталинсульфоната) динатрия]. По периодической схеме процесс осуществляют при повышенной температуре: ацетатное волокно не выше 85°С, полиамидное, триацетатное и полиакрилонитрильное при 98–100°С, полиэфирное при 130°С под давлением и рН 4,5–5,5. Триацетатное и полиамидное волокна можно также окрашивать под давлением при 115–120°С. Реже полиэфирное волокно окрашивают при 98–100°С в присутствии переносчика, в качестве которого используют, например, о- и п-фенилфенолы, дифенил, эфиры бензойной и салициловой кислот, производные нафталина; переносчик, изменяя состояние волокна и красителя, способствует увеличению скорости диффузии и сорбции дисперсного красителя волокном. Крашение диазотирующимися дисперсными красителями проводят вначале обычным периодическим способом, после чего осуществляют диазотирование красителя на ткани при ~ 15°С в растворе, содержащем NaNO2 и НСl, а затем – азосочетание, например, с 2-гидроксинафтойной кислотой. По непрерывной схеме окрашивают ткани из полиэфирного волокна и его смесей с хлопковым или вискозным, используя термозольный способ: сначала ткань «плюсуют» (пропитывают и отжимают) в ванне, содержащей, кроме красителя и ПАВ, загуститель, например, алъгинат Na, затем сушат при 120–140°С и нагревают примерно 1 мин при 190–210°С. Крашение металлсодержащими дисперсными красителями осуществляют в присутствии неионогенного ПАВ, например, полиоксиэтилированного алкилфенола, при рН 8,0–8,5 около 100°С; в конце крашения вводят сульфат или ацетат аммония. Процесс можно проводить под давлением, использовать красители для печатания по тканям из полиамидных волокон, иногда – из триацетатных. При использовании активных дисперсных красителей процесс проводят сначала в кислой среде (рН 3,5–4,0), когда красители не проявляют активных свойств и ровно окрашивают подобно дисперсным красителям, а затем в слабощелочной (рН 10,0–10,5), в которой красители взаимодействуют с волокном с образованием ковалентных связей. Активные дисперсные красители применяют также для печатания по полиамидным тканям. Различия в условиях крашения разными способами настолько значительны, что краситель, пригодный для одного из способов крашения, может быть неприемлем для другого. Например, для термозоль-процесса с высокими температурами фиксации требуются дисперсные красители с высокой устойчивостью к сублимации, для термопечати – с низкой устойчивостью к сублимации, так как рисунок переносится на ткань с бумажной подложки в результате сублимации красителя при нагревании. При крашении в присутствии переносчика необходимы дисперсные красители с повышенной светостойкостью, так как переносчики могут ее понизить, при крашении изделий из текстурированных нитей – красители с хорошими миграционными свойствами, способностью скрывать структурную неоднородность волокна. [3]
2. Свойства 1,3,4-тиадиазолов
2.1 Синтезы на основе 2,5-димеркапто – 1,3,4-тиадиазола
2,5-димеркапто – 1,3,4-тиадиазол ввиду доступности и простоты его синтеза [9] вызывает интерес в плане его структурной модификации с целью получения новых потенциально биологически активных веществ. Окисление 2,5-димеркапто – 1,3,4-тиадиазола водным раствором перманганата калия протекает только по тиольным группам, не затрагивая гетероциклический атом серы, и приводит к образованию 1,3,4-тиадиазол – 2,5-дисульфокислоты (I).
Необходимое соотношение 2,5-димеркапто – 1,3,4-тиадиазола и перманганата калия для полного окисления тиольных групп до сульфогрупп было определено методом кислотно-основного титрования и оказалось равным 1:4. при этом перманганат-ионы восстанавливаются до диоксида марганца.
Полученное соединение (I) представляет собой белое кристаллическое вещество с высокой температурой плавления, хорошо растворимое в воде. Образование 1,3,4-тиадиазол – 2,5-дисульфокислоты (I) протекает почти с количественным выходом и составляет около 98% [10].
2.2 Синтез производных аминотиадиазолов
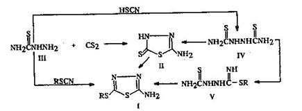
Методы получения производных 2-амино-5-алкилтио – 1,3,4-тиадиазолов (I) основаны на реакции алкилирования щелочных солей 2-амино-5-меркапто – 1,3,4-тиадиазолов, получаемых из 2-амино – 1,3,4-тиадиазолин-5 (4) – тиона (II). Практически этим путем синтезированы почти все известные соединения (I). Отмечено, что N, N’ – дитиокарбамоилгидразин (IV) при алкилировании диалкилсульфатами через алкилтиоэфиры (V) может быть превращен в соединения (I) [11]. Нами установлено, что алкил (аралкил) тиоционаты в среде полифосфорной кислоты при 90–100°С реагируют с тиосемикарбазидом (III) с образованием производных аминотиадиазолов (I).
2.3 Красители на основе 2-амино-5-меркапто – 1,3,4-тиадиазолов
Некоторые новые гетероциклические моноазокрасители, синтезированные на основе 2-амино-5-меркапто – 1,3,4-тиадиазола с различными N-фенилакриламидными производными, используются для окрашивания полиэфирных тканей [12].
Красители охарактеризованы данными электронных спектров в ИК и видимой области. Эти красители были найдены от коричнево-оранжевого до красно-розовых оттенков в окраске с хорошей глубиной. Окрашенные ткани показали себя очень хорошо со стороны прочности к стирке, трению, поту.
Аминотиадиазолы были одними из первых гетероциклических диазокомпонентов дисперсных красителей, которые описаны в патентной литературе [13]. Такие гетероциклические амины были использованы для получения красителей, которые дают ярко-красные оттенки на полиэфирной ткани. За последние два десятилетия вырос интерес в области новых тиадиазольных красителей [14–23].
ОБСУЖДЕНИЕ РЕЗУЛЬТАТОВ
Целью курсовой работы является получение дисперсных красителей на основе 2-амино-5-меркапто – 1,3,4-тиадиазола по следующей общей схеме:
2-Амино-5-меркапто – 1,3,4-тиадиазол, используемый в качестве диазосоставляющей, получали следующим образом:
1) реакция тиосемикарбазида с сероуглеродом
![]()

2) кислотная циклизация N, N'-дитиокарбамоилгидразина
![]()
![]()
