Легко- и трудногидролизуемые полисахариды
Содержание
Введение
1. Методы определения редуцирующих веществ в гидролизатах
2. Определение легкогидролизуемых полисахаридов
3. Определение трудногидролизуемых полисахаридов
4. Определение массовой доли PB в гидролизатах по методу Макэна и Шоорля
5. Определение массовой доли PB в гидролизатах эбулиостатическим методом
6. Анализ гидролизатов методом газожидкостной хроматографии
Введение
Определение легко - и трудногидролизуемых полисахаридов в древесине основано на реакциях их гидролиза с последующим нахождением общего количества образовавшихся моносахаридов по редуцирующей способности. Для определения содержания отдельных моносахаридов в гидролизатах - гексоз и пентоз - используют хроматографический анализ.
Легко- и трудногидролизуемые полисахариды разделяют, используя различные условия гидролиза. Для гидролиза легкогидролизуемых полисахаридов применяют обработку древесины разбавленными минеральными кислотами, а для гидролиза трудногидролизуемых полисахаридов - обработку концентрированной кислотой при температуре 20 .25°С. Для полного гидролиза полисахаридов древесины вместо серной кислоты можно использовать трифторуксусную кислоту.
Гидролиз полисахаридов разбавленной кислотой идет в гетерогенной среде, а гидролиз концентрированной кислотой - в гомогенной. В концентрированной кислоте полисахариды сначала набухают и растворяются, а затем уже происходит их гидролитическая деструкция. Однако в связи с недостатком воды в реакционной смеси продуктами гидролиза в концентрированной кислоте являются не моносахариды, а олигосахариды.
Они образуются, во-первых, при частичном гидролизе полисахаридов, а во-вторых, в результате реверсии моносахаридов - реакции обратной гидролизу. Для доведения гидролиза до конечной стадии - получения моносахаридов - проводят дополнительный гидролиз - инверсию. Раствор олигосахаридов в концентрированной кислоте разбавляют и кипятят в течение 3 .5 ч.
При анализе малоизученного сырья рекомендуется проводить предварительные опыты для установления необходимой продолжительности стадии дополнительного гидролиза до достижения максимального выхода моносахаридов.
При слишком длительной стадии дополнительного гидролиза начинается распад моносахаридов, а также происходит реакция реверсии.
1. Методы определения редуцирующих веществ в гидролизатах
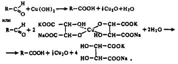
Для определения общего количества легко - или трудногидролизуемых полисахаридов находят концентрацию редуцирующих веществ в гидролизатах. Определение легко - и трудногидролизуемых полисахаридов по концентрации редуцирующих веществ не является вполне точным. В гидролизатах редуцирующими веществами будут не только моносахариды, но также и продукты их распада в кислой среде. В гидролизатах трудногидролизуемых полисахаридов PB состоят главным образом из глюкозы и небольших количеств маннозы, ксилозы, фруктозы. В гидролизатах легкогидролизуемых полисахаридов состав PB более разнообразен: глюкоза, манноза, галактоза, ксилоза, арабиноза, рамноза, глюкуроновая и галактуроновая кислоты, продукты распада моносахаридов. Все вещества имеют различную редуцирующую способность. Учесть эти различия при расчете результатов анализа практически невозможно. Поэтому принято концентрацию PB в гидролизатах определять чаще всего в пересчете на глюкозу. Для определения общего выхода PB пользуются методом Бертрана или эбулиостатическим методом, основанными на реакции окисления Сахаров медно-щелочным раствором, в результате которой двухвалентная медь Cu2+ переходит в одновалентную Cu+ и выпадает в осадок в виде оксида меди Cu2O. В качестве медно-щелочного раствора используют реактив Фелинга, который получают непосредственно при проведении анализа смешиванием растворов сульфата меди и щелочного раствора сегнетовой соли, в результате чего получается растворимый комплекс, содержащий Cu2+,
Упрощенно окисление альдоз реактивом Фелинга можно представить схемой
В действительности же окисление редуцирующих Сахаров медно-щелочным раствором представляет не одну определенную реакцию, а множество реакций, происходящих одновременно. При этом носителями редуцирующих свойств являются не только сами сахара, но и продукты их дальнейших превращений и распада. Таким образом, здесь нельзя ожидать стехиометрически протекающей реакции и написать точное уравнение реакции фактически невозможно. Поэтому для пересчета массы восстановленной меди в массу Сахаров пользуются эмпирическими таблицами.
Первоначально при определении PB методом Бертрана осадок Cu2O взвешивали. Впоследствии количество восстановленной меди стали определять титриметрическими методами - прямого или обратного титрования.
В прямом методе осадок Cu2O растворяют в растворе додекагидрата сульфата железа - аммония NH4Fe2 · 12Н20 в присутствии серной кислоты. При этом Cu+ окисляется в Cu2+, a Fe3+ восстанавливается в Fe2+ по уравнению
Раствор FeSO4 титруют раствором перманганата калия
По количеству перманганата калия, израсходованного на реакцию окисления железа, вычисляют массу меди в Cu2O и по эмпирической таблице находят массу Сахаров в пересчете на глюкозу.
Ввиду того, что оксид меди легко окисляется на воздухе, определение Сахаров приводит к неточным результатам. Кроме того, для метода Бертрана характерно большое число операций. При нагревании медно-щелочного раствора возможно его самовосстановление. Самовосстановление меди можно учесть, если провести контрольное определение.
Более точный и простой метод обратного титрования был разработан Макэном и Шоорлем. Этот метод основан на йодометрическом определении избытка реактива Фелинга.
"
Самовосстановление в этом методе учитывают, так как расход реактива Фелинга определяют по разности между результатами контрольного и рабочего титрований.
В обоих методах взаимодействие PB с реактивом Фелинга происходит при свободном доступе кислорода воздуха, и необходимо пользоваться эмпирическими таблицами. Этих недостатков лишен эбулиостатический метод, основанный на прямом титровании горячего медно-щелочного раствора исследуемым раствором сахара в специальном приборе - эбулиостате, позволяющем производить анализ в токе водяного пара, т.е. без доступа воздуха. Эмпирические таблицы не требуются. Устанавливают титр медно-щелочного раствора по раствору глюкозы известной концентрации.
Общий выход PB при количественном гидролизе определяют как сумму редуцирующих веществ, полученных при определении легко - и трудногидролизуемых полисахаридов. Наиболее точное представление о качественном и количественном составе редуцирующих веществ гидролизатов получают с помощью хроматографических методов анализа.
