Легко- и трудногидролизуемые полисахариды
где Ь - масса моносахарида в пробе гидролизата, мкг; х - объем пробы гидролизата, взятый на хроматографирование, см3; V - общий объем гидролизата, V=500 - или 200 см3; k - коэффициент пересчета моносахаридов на полисахариды, £ = 0,90 для гексозанов и 0,88 для пентозанов; з - кратность упаривания; g - масса абсолютно сухой навески древесины, г.
Построение градуировочных графиков. Градуировочный график для каждого моносахарида представляет собой зависимость оптической плотности элюата от массы сахара на хроматограмме. Для построения графиков готовят точно 1% -ные растворы чистых моносахаридов. На полоску хроматографической бумаги на расстоянии 3 .4 см друг от друга наносят разные количества 1% -ного раствора сахара: 0,01; 0,02; 0,03; 0,04 и 0,05 см3. После высыхания пятен полоску проявляют раствором анилинфталата в этаноле в точно таких же условиях, как и при анализе гидролизатов. Проводят элюирование и фотометрирование, как описано выше. На основании средних данных нескольких параллельных определений для каждого моносахарида строят градуировочный график. Иногда градуировочный график для глюкозы используют для всех гексоз, а график для ксилозы - для всех пентоз. Последний способ менее точен.
6. Анализ гидролизатов методом газожидкостной хроматографии
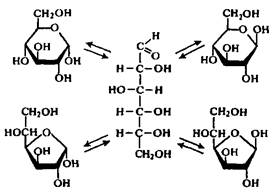
В гидролизатах происходит мутаротация моносахаридов, т.е. образование равновесной смеси таутомерных форм: б-, в-пиранозных, б-, в-фуранозных и открытой. Для глюкозы это иллюстрирует следующая схема:
Существование таутомерных форм затрудняет определение состава моносахаридов в гидролизате.
Моносахариды нелетучи и непосредственное разделение их смесей методом газожидкостной хроматографии невозможно. Сахара могут быть хроматографически разделены в виде летучих производных - простых и сложных эфиров. Широко распространен метод анализа в виде триметилсилильных производных моносахаридов. Последние являются летучими гликозидами простых О-триметилсилиловых эфиров углеводов, образующихся в результате полного замещения гидроксильных групп моносахаридов при их силировании.
В качестве силирующего реагента моносахаридов используют смесь триметилхлорсилана и гексаметилдисилазана в среде пиридина.
В качестве примера приводится схема реакции силирования для галактозы
Подобным образом синтезируются TMС-производные других моносахаридов. При этом устанавливается новая равновесная смесь, в которой преобладают пиранозные формы. Соотношение таутомеров в зависимости от условий колеблется. Состав ТМС-производных таутомерных форм индивидуальных моносахаридов приведен ниже.
Для уменьшения числа пиков на хроматограмме и упрощения ее обработки моносахариды восстанавливают до соответствующих многоатомных спиртов с последующим их превращением в ацетаты. Каждый полиол дает на хроматограмме один пик, поскольку таутомерия у полиолов невозможна.
При анализе ТМС-производных методом газожидкостной хроматографии инертный газ служит подвижной фазой, неподвижной фазой является жидкость, нанесенная тонким слоем на твердый носитель. В качестве жидкой фазы используют различные силиконовые масла и полиэфиры. Наиболее селективными фазами из вырабатываемых отечественной промышленностью являются неполярное метилхлорсиликоновое масло и полярный политриэтиленгликольсебацинат. В качестве твердого носителя применяют адсорбенты порохром-3 или хромат N.
Для хроматографического разделения смеси летучих производных моносахаридов используют газовые хроматографы, состоящие из колонки с термостатом, в которой происходит разделение смеси, пламенно-ионизационного детектора, дающего сигнал прямо пропорциональный количеству анализируемого вещества, блоков управления и самопишущего прибора. Выход ТМС-производных, регистрирующийся самопишущим прибором в виде пика на диаграммной ленте, соответствует времени удерживания tR - времени, прошедшего с момента введения пробы в колонку до момента появления компонента смеси в детекторе.
В соответствии с tR на хроматограмме в определенном порядке появляются пики индивидуальных соединений. Xpoматограмма - совокупность пиков, соответствующая порядку выхода и массе индивидуальных компонентов смеси. Порядок выхода при хроматографическом разделении ТМС-производных зависит от жидкой фазы. Его устанавливают предварительно для данной фазы с использованием модельных ТМС-производных чистых моносахаридов по их времени удерживания. На рис. приведена в качестве примера хроматограмма модельной смеси, разделенной на колонке с метилхлорфенил-силиконовым маслом в качестве жидкой фазы.
Существует несколько методов количественного определения состава смеси по полученным хроматограммам. По первому методу определяют площади пиков всех таутомеров каждого моносахарида расчетом площади треугольной аппроксимацией пика - умножением основания пика на половину высоты. При частичном наложении пиков друг на друга и невозможности прямого измерения основания площадь пика определяют умножением его высоты на ширину, измеренную на половине высоты. Возможно также определять долю каждого пика его переносом на бумагу и взвешиванием вырезанного из нее пика на аналитических весах, относя найденную массу к массе всех анализируемых пиков. Результат выражают в процентах, используя метод нормировки площадей.
Хроматограмма модельной смеси TMC производных моносахаридов
По второму методу количественное определение массовой доли конкретного моносахарида в смеси производят по площади пика одного из его таутомеров, исходя из условия, что при синтезе ТМС-производных в строго постоянных условиях соотношение таутомеров сохраняется постоянным. Это позволяет для расчета выбрать наиболее разрешенный пик, называемый характеристическим. В качестве таких пиков обычно используют пики ТМС-производных в-Ж,-арабинопиранозы, в-П-кси-лопиранозы, a-D-маннопиранозы, a-D-галактопиранозы и в-D-глюкопиранозы. Площади пиков остальных таутомеров непосредственно не измеряют, а находят расчетом. С учетом доли характеристического пика вычисляют общую площадь пиков всех таутомеров данного моносахарида. Количественное соотношение таутомерных форм необходимо устанавливать для данных условий хроматографирования и при. их изменении определение следует проводить вновь. Долю конкретного моносахарида находят отнесением площади всех пиков данного моносахарида к общей площади всех пиков.
Количественное определение массы индивидуальных моносахаридов производят с использованием внутреннего стандарта. Масса сорбита, добавляемая в анализируемую смесь, должна обеспечить его концентрацию в растворе, примерно соответствующую концентрации индивидуальных моносахаридов. Расчет ведут по градуировочному графику. График получают, по данным хроматографирования эталонных растворов, содержащих индивидуальный моносахарид и сорбит. Градуировочный график строят в координатах: по оси абсцисс - масса чистого моносахарида в эталонном растворе, по оси ординат - отношение площади характеристического пика этого же моносахарида к площади пика внутреннего стандарта. График имеет линейную форму. Прямую линию проводят с использованием метода наименьших квадратов.
