Легко- и трудногидролизуемые полисахариды
Индикатором при титровании служит метиленовый голубой, который в окислительной среде имеет синий цвет, а в восстановительной бесцветен. Для предотвращения выпадения осадка оксида меди в медно-щелочной раствор добавляют желтую кровяную соль калия, которая образует с Cu2O растворимое комплексное соединение.
Для проведения анализа приготовляют два раствора: А - 10 г CuSO4 ·5З20 и 0,04 г метиленового голубого растворяют в воде в мерной колбе на 1 дм3 доведением до метки; Б - 50 г сегнетовой соли растворяют в воде, отдельно растворяют в воде 4 г желтой кровяной соли, переносят оба раствора в мерную колбу на 1 дм \ добавляют 75 г NaOH в виде 50% -ного водного раствора и доводят водой до метки.
Прибор для определения PB эбулиостатическим методом и дозаторы растворов. Дозатор для отмеривания раствора А представляет собой два сообщающихся сосуда. Сосуд вместимостью около 100 см3 служит для хранения раствора А и сосуд-пипетка для его отмеривания. На верхнем и нижнем отводах сосуда-пипетки нанесены метки, соответствующие объему 5 cmj. Для отмеривания раствора А открывают кран / и заполняют сосуд-пипетку до верхней метки. Затем кран закрывают. При отмеривании раствора А и заливании его в эбулиостат открывают кран 2 и спускают раствор до нижней метки. Второй дозатор для отмеривания раствора Б представляет собой пипетку вместимостью 5 см, к верхнему концу которой припаян трехходовой кран. На верхний отвод тройника надета резиновая груша. Раствор Б хранят в колбе вместимостью 100 см', откуда набирают в пипетку, а из пипетки спускают в эбулиостат.
В зависимости от массовой доли PB в растворе и интенсивности его окраски применяют два варианта титрования: для светлых растворов, содержащих 0,13 .0,05% PB1 используют прямое титрование раствором сахара; для темных растворов или растворов, содержащих меньше 0,05% PB1 применяют дотитровывание раствором глюкозы.
Методика анализа по первому варианту. В колбу прибора наливают воду и ставят прибор на электрическую плитку. Для равномерного образования пара на дно колбы помещают кусочки пористого стекла или шамота. Когда вода закипит, вынимают из колбы эбулиостат и наливают в него из дозаторов сначала 5 см3 раствора А, а затем 5 см3 раствора Б. Осторожно перемешивают растворы в эбулиостате и медленно вставляют эбулиостат вместе с пробкой в колбу.
Затем верхнее отверстие эбулиостата закрывают пробкой с бюреткой, в которую наливают исследуемый раствор сахара. Регулируют выход пара через отводную трубку таким образом, чтобы жидкость в эбулиостате нагрелась до температуры кипения воды примерно за 0,5 мин. Как только пар начнет проходить через медно-щелочной раствор, начинают титрование раствором сахара.
Сначала проводят ориентировочное определение. Раствор сахара из бюретки добавляют по каплям со скоростью одна капля за 1 .2 с до перехода окраски раствора из синей в желтую и замечают объем раствора сахара, израсходованного на титрование. Затем проводят окончательное определение. В эбулиостат заливают новую порцию медно-щелочного раствора, подготавливают эбулиостат к титрованию, как указано выше, и начинают титрование. Вначале сразу прибавляют 80 .90% объема раствора сахара, израсходованного при ориентировочном определении, и через 2 мин с начала пробулькивания пара через жидкость в эбулиостате дотитровывают, прибавляя раствор сахара со скоростью одна капля за 6 .7 с, до перехода синей окраски в желтую от одной капли сахарного раствора.
По бюретке определяют объем раствора сахара, израсходованного на титрование 10 CMi медно-щелочного раствора.
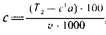
Массовую долю PB1%, в гидролизате легкогидролизуемых полисахаридов или в разбавленном нейтрализованном гидролизате трудногидролизуемых полисахаридов г, и ст соответственно рассчитывают по формуле
1
где T1 - титр медно-щелочного раствора по глюкозе для первого варианта, мг; х - объем гидролизата, израсходованный на титрование 10 см1 медно-щелочного раствора.
Методика анализа по второму варианту. Подготавливают прибор к работе, как и в первом варианте, но в эбулиостат кроме 5 см1 раствора А и 5 см3 раствора Б, добавляют, отмеривая пипеткой, определенный объем раствора сахара. В случае темного раствора, содержащего более 0,05% PB, этот объем должен составлять 1 .2 см3, а в случае раствора с массовой долей PB менее 0,05% - 5 см3. Затем к жидкости в эбулиостате добавляют из бюретки такой объем раствора глюкозы концентрацией около 0,1 г/100 см3, чтобы на дотитровывание после 2 мин кипячения потребовалось бы не более 1 см3 этого раствора. Добавляемый объем определяют предварительным анализом. Концентрация добавляемого раствора глюкозы должна быть установлена точно; удобнее всего пользоваться раствором глюкозы, приготовленным для установки титра медно-щелочного раствора,
После перемешивания жидкости эбулиостат с пробкой медленно вставляют в колбу, закрывают его пробкой с бюреткой, в которую налит раствор глюкозы. Через 2 мин с начала пробулькивания пара через жидкость в эбулиостате проводят дотитровывание раствором глюкозы, добавляя его со скоростью одна капля за 6 .7 с до перехода окраски в желтую от одной капли раствора глюкозы, израсходованного на дотитровывание.
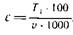
Массовую долю PB,%, в гидролизате легкогидролизуемых полисахаридов или в разбавленном нейтрализованном гидролизате трудногидролизуемых полисахаридов сл и сг соответственно рассчитывает по формуле
где T2 - титр медно-щелочного раствора по глюкозе для второго варианта, мг; с.
При фотоколориметрическом методе для обнаружения бесцветных Сахаров на бумаге хроматограмму проявляют - обрабатывают раствором проявителя, дающего с сахарами окрашенные соединения. Количества разделенных моносахаридов приближенно можно определить непосредственно на хроматограмме прямым измерением интенсивности окраски пятен. Однако из-за нестабильности окраски и существенного влияния условий обработки хроматограмм точность этого метода невелика: относительная ошибка измерений достигает 10 .15%. Более точным способом является извлечение окрашенных продуктов из хроматограммы - э л ю и с о в а н и е с последующим фотометрированием полученных растворов - злюатов на фотозлектроколориметре или спектрофотометре.
Для разделения Сахаров применяют специальную хроматографическую бумагу № 1 или Ne 2, которую нарезают полосками. Скорость разделения больше на полоске бумаги с продольным расположением волокон, чем на полоске с поперечным расположением. Иногда для лучшего разделения Сахаров необходимо обеспечить более медленное движение растворителя. С этой целью бумагу нарезают в направлении, перпендикулярном направлению волокон.
Хроматографирование осуществляют нисходящим или восходящим потоками жидкости. В первом случае бумагу подвешивают, укрепляя верхний конец в сосуде с растворителем. Во втором случае бумагу помещают в растворитель нижним концом. Когда сахара трудно разделяются, рекомендуется повторное хроматографирование.
