Методы определения активности катализаторов
При использовании проточного метода с неподвижным слоем катализатора в реакторе обычно допускают, что движение газа в слое катализатора отвечает режиму идеального вытеснения, т.е. пренебрегают радиальными градиентами давления, температуры, концентрации. Соответственно среднюю скорость процесса по высоте слоя Н или по времени контакта т (поскольку т пропорционально Н) определяют интегрированием кинетических уравнений (1) и (2). Аналитическое решение кинетических уравнений, как правило, возможно лишь с применением вычислительных машин. При их отсутствия прибегают к графическому дифференцированию зависимости x = f(x), что вносит погрешности.
Основным достоинством проточного метода является возможность определения каталитической активности при стационарном состоянии катализатора. Существенным недостатком — невозможность прямого измерения скорости реакции и трудность осуществления в реальных условиях режима идеального вытеснения [1].
Однако ряд преимуществ проточного метода (простота конструктивного оформления, непрерывность работы, возможность проверки катализатора в условиях, близких к производственным) обеспечили ему широкое применение при изучении каталитических реакций окисления окиси углерода, сернистого ангидрида, аммиака, спиртов и многих других. На рис. 2 дана общая схема проточной установки для определения активности катализатора в процессе окисления сернистого ангидрида [1].
Рис. 2. Стандартная установка для испытания активности контактных масс окисления S02 проточным методом: 1—дрексель; 2—смеситель газов; 3 —контактная трубка; 4— электрическая печь; 5—поглотительная склянка с серной кислотой: 6 —аспиратор; 7—анализатор; 8 — термопара.
Газовую смесь через смеситель 2 направляют в реактор 3 с контактной массой. Контактная трубка помещена в электрическую печь 4, снабженную тремя самостоятельно регулируемыми нихромовыми спиралями. Это дает возможность регулировать температуру отдельно в разных частях слоя контактной массы с достаточным приближением к изотермичности. Колебания температуры по слою не должны превышать 5°С. Концентрацию сернистого ангидрида определяют до контактной трубки и после нее.
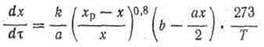
Скорость процесса окисления S02 в SO3 на ванадиевом катализаторе (в неподвижном слое) выражается уравнением [1]
(4)
где х — степень превращения, доли ед.; т —время контакта, с; k — константа скорости реакции, с-1 • см2/кгс;. а, b — начальные концентрации сернистого ангидрида и кислорода, соответственно, объемн. %; xp — равновесная степень превращения доли ед.; Т— температура, К.
Проточно-циркуляционный метод измерения активности осуществляют путем определения концентраций компонентов в циркулирующей газовой смеси при малых степенях превращения за один проход через катализатор.
Описанные выше методы являются интегральными и их применение основано на принятии упрощающих предположений o peжиме идеального вытеснения и о квазистационарном состоянии системы. Отклонения от таких режимов обусловлены наличием определенных градиентов, возникающих в применяемых системах [1].
Безградиентный проточно-циркуляционный метод осуществляют в условиях практического отсутствия в реакционной зоне перепадов концентраций, температур, скоростей. Принцип его применительно к изучению кинетики гетерогенных каталитических реакций был впервые предложен М.И. Темкиным, С.Л. Киперманом и Л.И. Лукьяновой. Перемешивание в проточно-циркуляционной системе достигается применением интенсивной циркуляции реакционной смеси через катализатор в замкнутом объеме при непрерывном поступлении и выведении газового потока, причем количество циркулирующего газа должно значительно превышать количество вновь вводимого исходного газа. Циркуляция с большой скоростью происходит с помощью насосов: механических, поршневых или электромагнитных, мембранных и других. Циркуляционный контур, состоящий из, электромагнитного насоса (производительность 600—1000 л/ч), клапанной коробки двойного действия 2 и реактора 1 представлен на рис. 3. Высокая линейная скорость реакционной смеси в цикле и малая степень превращения обусловливают минимальные градиенты концентраций и температур, при этом слой можно рассматривать, как бесконечно малый, а реактор — как аппарат идеального смешения. Следовательно, скорость
процесса можно в данном случае определить отношениями [1]
(5)
где Gn и G —количества полученного за время т продукта или превращенного исходного вещества, соответственно; Сп и С —концентрации продукта и. основного исходного вещества к моменту времени х, соответственно; w—линейная скорость газа; v — объем катализатора; Vг — объем газа; H —высота слоя катализатора.[1]
Рис. 3 Проточно-циркуляционная система с электромагнитным поршневым насосом: 1— реактор в печи; 2 — клапан; 3— циркуляционный насос; 4—ввод исходной' газовой смеси; 5—выход реагирующей смеси за реактором; 6 выход реагирующей смеси до реактора.
Основными достоинствами проточно-циркуляционного метода являются следующие:
1. Прямое измерение скорости реакции в каждом опыте.
2. Легкость достижения постоянства температуры в реакторе, даже для реакций со значительным тепловым эффектом, благодаря интенсивной циркуляции и соответственно малому изменению степени превращения в слое катализатора [1].
3. Осуществление процесса в режиме, аналогичном полному смешению при практическом отсутствии перепадов концентраций, скоростей и температур.
4. Возможность работы с любым количеством катализатора
вплоть до одной гранулы, при любых размерах гранул и соотношениях размеров гранул и реактора.
5. Высокая линейная скорость реакционной смеси, что облегчает устранение искажений, связанных с переносом вещества к наружной поверхности зерен катализатора, т. е. внешне-диффузионным торможением.
Искажение, связанное с Переносом внутри зерен (т. е. внутри-диффузионное торможение) сохраняется. Его снятие требует уменьшения размера зерен катализатора при испытании. Сохраняя неизменным химический состав и меняя размеры зерен катализатора, можно выявить влияние пористой структуры на активность контактной массы, т.е. определить внутри-диффузионное торможение при различных размерах, а также максимальный размер зерен, соответствующий переходу от внутридиффузионной к кинетической области.
К недостаткам проточно-циркуляционного метода можно отнести: 1) сложность аппаратурного оформления; 2) необходимость достаточных количеств исходных веществ и времени для достижения стационарного состояния, в некоторых случаях— возможное усиление побочных процессов [1].
Существенные преимущества проточно-циркуляционного метода подтверждают целесообразность его применения при изучении кинетики реакций. Схема проточно-циркуляционной установки для окисления сернистого ангидрида приведена на рис. 4. Сернистый ангидрид, азот и кислород из баллона дозируют клапаном тонкой регулировки в осушительную систему. Точный расход газов регулируют моностатом и замеряют реометром. Затем смесь газов поступает в циркуляционный контур; анализ газовой смеси на входе и выходе из цикла производят по методу Рейха. Для предотвращения «залипания» клапанов вследствие конденсации SОз производят постоянный электрообогрев клапанной коробки 10. Реактор 12 представляет, собой трубу с сеткой и впаянным карманом для термопары. Во время эксперимента реактор помещают в цилиндрическую печь с автоматической регулировкой температуры. Установка позволяет работать при температурах от 0 до 620 °С. Степень превращения х рассчитывают по формуле
