Методы определения активности катализаторов
(6)
где Сн, Ск —начальная и конечная концентрации SO2, соответственно, объемн.%.
Рис. 4. Проточно-циркуляционная установка для окисления S02: 1—редуктор; 2—вентиль тонкой регулировки; 3 — барботер с H2SO4; 4—колонка с CuO; 5—колонка с ангидроном; 6—моностат с дибутил-фталатом; 7—реометр; 8—колонка с P2O5; 9—ловушка; 10 —клапанная коробка; 11 — циркуляционный насос; 12—реактор.
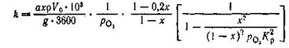
Активность катализатора характеризуется константой скорости, рассчитанной по уравнению Борескова [1].
(7)
![]()
![]()
![]()
![]()
![]()
![]()
![]()
![]()
![]()
![]()
![]()
![]()
![]()
где а — исходная концентрация SО2, объемн.%; х — степень превращения, доли ед.; g — навеска катализатора, г; р — насыпная плотность катализатора, г/мл; V0 — скорость подачи газа, приведенная к нормальным условиям, дм3/ч; p — парциальное давление кислорода в исходном 'газе, кгс/см2; /Ср — константа равновесия, кгс/см2.
Существует «дифференциальный» способ исследования каталитической активности, представляющий собой обычный проточный метод при малом количестве катализатора и больших объемах протекающей реакционной смеси, т. е. при больших объемных скоростях. Благодаря этому, изменение степени превращения в слое катализатора невелико, и количество превращенного вещества может служить мерой скорости реакции. Однако, этот метод не обеспечивает достаточную точность измерения скорости реакции.
В проточно-циркуляционных методах для расчета скорости реакции используют не малую разность концентрационной смеси на входе и выходе из слоя катализатора, а значительную разность концентраций смеси, поступающей в циркуляционный контур и выходящей из него. Благодаря этому каталитическая активность проточно-циркуляционным методом может быть измерена с гораздо большей точностью [1].
Помимо перечисленных наиболее распространенных методов существует и ряд других, позволяющих оценить активность контактных масс.
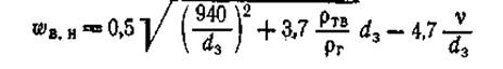
Метод изучения кинетики реакций во взвешенном слое катализатора приобретает большое значение, в частности, при моделировании производственных условий некоторых процессов. Ведение реакций во взвешенном слое требует тщательного выбора гидродинамических условий, приближающихся к моделируемому процессу. Прежде всего важно, аналогичное моделируемому процессу, отношение действительной скорости w к скорости начала взвешивания wB катализатора.[1]
Скорость начала взвешивания можно определить по формуле
(8)
где Re в = щвd3 / н – критерий Рейнольдса; Ar = gd33 / н2 * ств – сг / сг - критерий Архимеда; d3 — средний размер зерен; рг, ртв — плотности газа и твердых частиц, соответственно; v — кинематический коэффициент вязкости газа.
Уравнение (8) применимо для моно- и полидисперсных слоев с частицами сферической и неправильной формы в широком диапазоне чисел Re и позволяет определять wr с точностью до ±30%.
Общей формулой для расчета широкого диапазона скоростей (в м/с) является та, в которой истинная скорость в начале взвешивания wB.B= wB/e0 (e0 —порозность слоя) составляет:
(9)
Средний размер частиц может быть определен различными способами. При достаточно узком гранулометрическом составе частиц, по форме близкой к сферической, если их размер меняется от d31 до d32:
(10)
При широком гранулометрическом составе путем рассева выделяют узкие фракции и рассчитывают их средний диаметр d3 по формуле (10) и долю частиц At с этим размером. Средний диаметр частиц всех фракций катализатора может быть рассчитан по формуле:
(11)
Рис. 5. Установка для окисления S02 во взвешенном слое катализатора: 1—прибор Рейха; 2—реостат; 3—пирометр; 4—контактный аппарат; 5—кран для отбора проб газа; 6—смеситель; 7—реометр; 8—склянка с H2SO4
Для частиц, форма которых существенно отличается от сферической, d3i определяют по формуле
(12)
![]()
![]()
![]()
![]()
![]()
![]()
![]()
![]()
![]()
![]()
![]()
![]()
![]()
![]()
![]()
![]()
![]()
![]()
![]()
![]()
![]()
![]()
![]()
где — средний объем частицы, определяемый по числу частиц в пробе и весу пробы.
